Министерство Юстиции Российской Федерации
версия для слабовидящих
×
Закрыть
Информация об официальном опубликовании
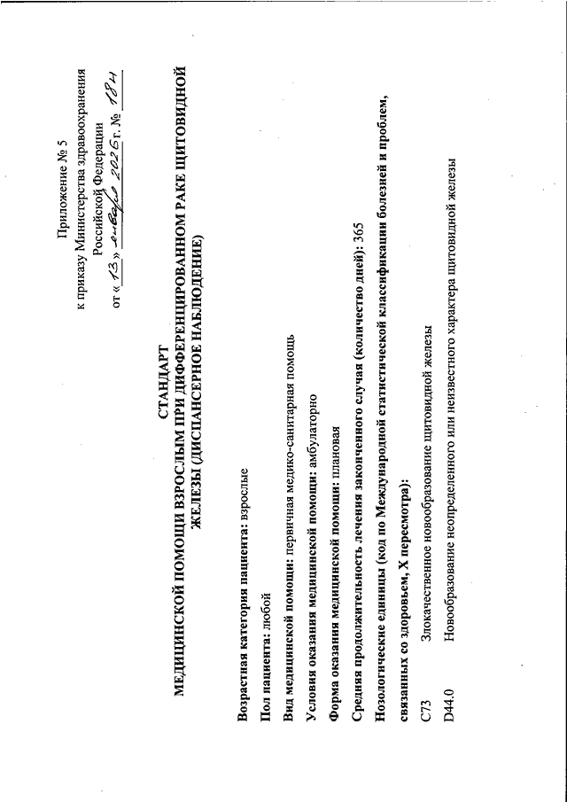
ПРИКАЗ Минздрава РФ от 13.01.2026 N 18н
"ОБ УТВЕРЖДЕНИИ СТАНДАРТОВ МЕДИЦИНСКОЙ ПОМОЩИ ВЗРОСЛЫМ ПРИ ЗЛОКАЧЕСТВЕННЫХ НОВООБРАЗОВАНИЯХ ЩИТОВИДНОЙ ЖЕЛЕЗЫ"
(Зарегистрировано в Минюсте РФ 18.02.2026 N 85392)
Показывать страниц:
1
10
100
Для качественной печати:
PDF-файл документа (1 Мб)
<<
<
22
23
24
25
26
27
28
29
>
>>
Страница
27
из
29
<<
<
22
23
24
25
26
27
28
29
>
>>