Министерство Юстиции Российской Федерации версия для слабовидящих
ПРИКАЗ Федеральной антимонопольной службы от 14.01.2026 N 11/26
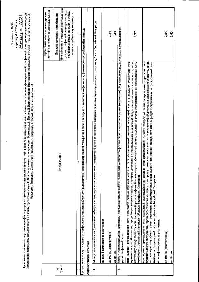
"ОБ УТВЕРЖДЕНИИ ПРЕДЕЛЬНЫХ МАКСИМАЛЬНЫХ УРОВНЕЙ ТАРИФОВ НА УСЛУГИ МЕСТНОЙ ТЕЛЕФОННОЙ СВЯЗИ, УСЛУГУ ПО ПРЕДОСТАВЛЕНИЮ ВНУТРИЗОНОВОГО ТЕЛЕФОННОГО СОЕДИНЕНИЯ АБОНЕНТУ (ПОЛЬЗОВАТЕЛЮ) СЕТИ ФИКСИРОВАННОЙ ТЕЛЕФОННОЙ СВЯЗИ ДЛЯ ПЕРЕДАЧИ ГОЛОСОВОЙ ИНФОРМАЦИИ, ФАКСИМИЛЬНЫХ СООБЩЕНИЙ И ДАННЫХ И ТАРИФОВ НА УСЛУГУ ПО ПЕРЕДАЧЕ ВНУТРЕННЕЙ ТЕЛЕГРАММЫ, ПРЕДОСТАВЛЯЕМЫЕ ПАО "РОСТЕЛЕКОМ"
(Зарегистрировано в Минюсте РФ 12.02.2026 N 85320)
Показывать страниц:
Для качественной печати: PDF-файл документа (6 Мб)
Страница 72 из 91