Министерство Юстиции Российской Федерации версия для слабовидящих
ПРИКАЗ Минкультуры РФ от 13.10.2025 N 1808
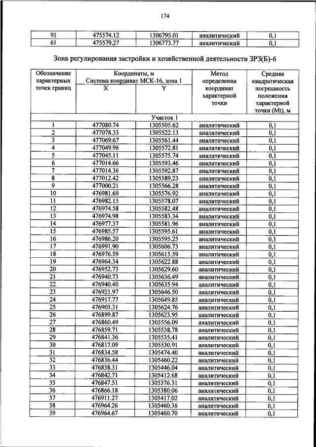
"ОБ УТВЕРЖДЕНИИ ГРАНИЦ ЗОН ОХРАНЫ ОБЪЕКТА КУЛЬТУРНОГО НАСЛЕДИЯ ФЕДЕРАЛЬНОГО ЗНАЧЕНИЯ "АНСАМБЛЬ КАЗАНСКОГО КРЕМЛЯ", XV - ПЕРВАЯ ЧЕТВЕРТЬ XX ВВ. (РЕСПУБЛИКА ТАТАРСТАН (ТАТАРСТАН), ВКЛЮЧЕННОГО В СПИСОК ВСЕМИРНОГО НАСЛЕДИЯ, ОСОБЫХ РЕЖИМОВ ИСПОЛЬЗОВАНИЯ ЗЕМЕЛЬ И ТРЕБОВАНИЙ К ГРАДОСТРОИТЕЛЬНЫМ РЕГЛАМЕНТАМ В ГРАНИЦАХ ТЕРРИТОРИЙ ДАННЫХ ЗОН"
(Зарегистрировано в Минюсте РФ 29.01.2026 N 85129)
Показывать страниц:
Для качественной печати: PDF-файл документа (1508 Мб)
Страница 174 из 839