Министерство Юстиции Российской Федерации
версия для слабовидящих
×
Закрыть
Информация об официальном опубликовании
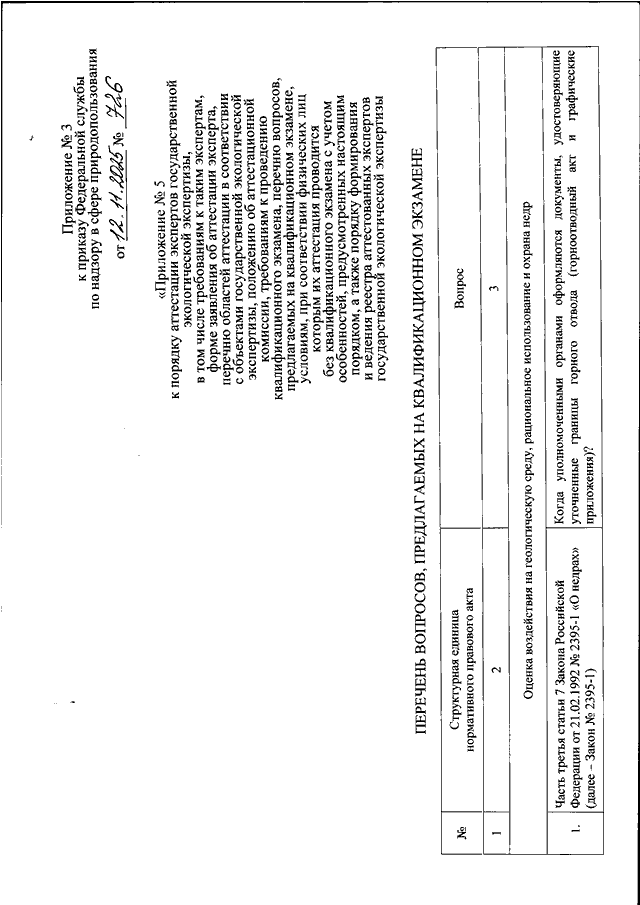
ПРИКАЗ Росприроднадзора от 12.11.2025 N 726
"О ВНЕСЕНИИ ИЗМЕНЕНИЙ В ПРИЛОЖЕНИЕ К ПРИКАЗУ РОСПРИРОДНАДЗОРА ОТ 21.02.2025 N 110"
(Зарегистрировано в Минюсте РФ 23.01.2026 N 85035)
Показывать страниц:
1
10
100
Для качественной печати:
PDF-файл документа (5 Мб)
<<
<
5
6
7
8
9
10
11
12
13
14
15
>
>>
Страница
10
из
87
<<
<
5
6
7
8
9
10
11
12
13
14
15
>
>>