Министерство Юстиции Российской Федерации версия для слабовидящих
ПРИКАЗ Минкультуры РФ от 12.01.2026 N 6
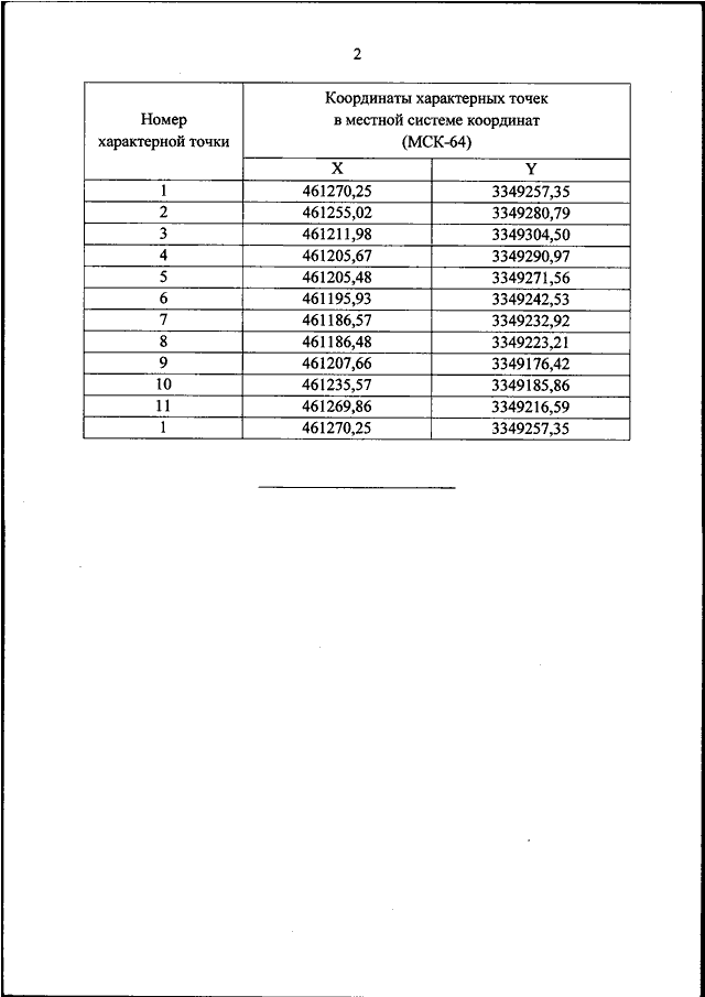
"О ВКЛЮЧЕНИИ ВЫЯВЛЕННЫХ ОБЪЕКТОВ КУЛЬТУРНОГО НАСЛЕДИЯ (ПАМЯТНИКОВ ИСТОРИИ И КУЛЬТУРЫ) НАРОДОВ РОССИЙСКОЙ ФЕДЕРАЦИИ (ОБЪЕКТОВ АРХЕОЛОГИЧЕСКОГО НАСЛЕДИЯ), РАСПОЛОЖЕННЫХ НА ТЕРРИТОРИИ ОЗИНСКОГО РАЙОНА САРАТОВСКОЙ ОБЛАСТИ, В ЕДИНЫЙ ГОСУДАРСТВЕННЫЙ РЕЕСТР ОБЪЕКТОВ КУЛЬТУРНОГО НАСЛЕДИЯ (ПАМЯТНИКОВ ИСТОРИИ И КУЛЬТУРЫ) НАРОДОВ РОССИЙСКОЙ ФЕДЕРАЦИИ В КАЧЕСТВЕ ОБЪЕКТОВ КУЛЬТУРНОГО НАСЛЕДИЯ (ПАМЯТНИКОВ ИСТОРИИ И КУЛЬТУРЫ) НАРОДОВ РОССИЙСКОЙ ФЕДЕРАЦИИ ФЕДЕРАЛЬНОГО ЗНАЧЕНИЯ И УТВЕРЖДЕНИИ ГРАНИЦ ИХ ТЕРРИТОРИЙ"
(Зарегистрировано в Минюсте РФ 20.02.2026 N 85432)
Показывать страниц:
Для качественной печати: PDF-файл документа (18 Мб)
Страница 7 из 7