Министерство Юстиции Российской Федерации
версия для слабовидящих
×
Закрыть
Информация об официальном опубликовании
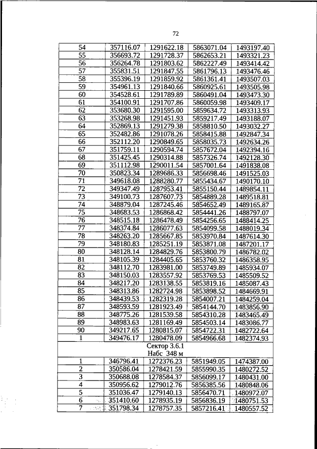
ПРИКАЗ Росавиации от 17.12.2025 N 969-П
"ОБ УСТАНОВЛЕНИИ ПРИАЭРОДРОМНОЙ ТЕРРИТОРИИ АЭРОДРОМА ГРАЖДАНСКОЙ АВИАЦИИ ОРЕЛ (ЮЖНЫЙ)"
(Зарегистрировано в Минюсте РФ 29.01.2026 N 85137)
Показывать страниц:
1
10
100
Для качественной печати:
PDF-файл документа (86 Мб)
<<
<
68
69
70
71
72
73
74
75
76
77
78
>
>>
Страница
73
из
155
<<
<
68
69
70
71
72
73
74
75
76
77
78
>
>>