Министерство Юстиции Российской Федерации версия для слабовидящих
ПРИКАЗ Минприроды РФ от 30.12.2025 N 757
"ОБ УСТАНОВЛЕНИИ ГРАНИЦ ОХРАННОЙ ЗОНЫ КАВКАЗСКОГО ГОСУДАРСТВЕННОГО ПРИРОДНОГО БИОСФЕРНОГО ЗАПОВЕДНИКА, А ТАКЖЕ ОБ УТВЕРЖДЕНИИ ПОЛОЖЕНИЯ О ДАННОЙ ОХРАННОЙ ЗОНЕ"
(Зарегистрировано в Минюсте РФ 23.01.2026 N 85037)
Показывать страниц:
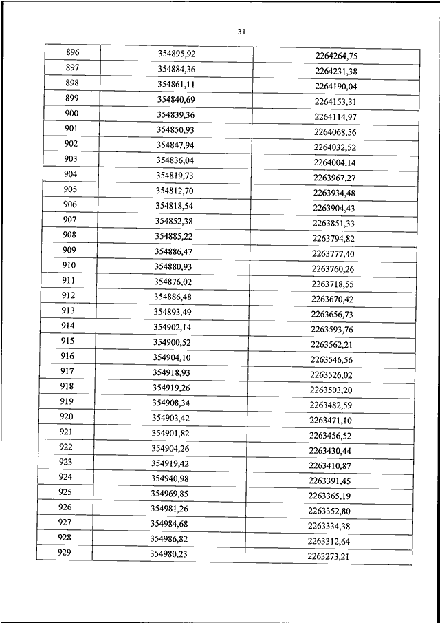
Для качественной печати: PDF-файл документа (12 Мб)
Страница 32 из 331