Министерство Юстиции Российской Федерации
версия для слабовидящих
×
Закрыть
Информация об официальном опубликовании
ПРИКАЗ Федеральной антимонопольной службы от 18.12.2025 N 1117/25
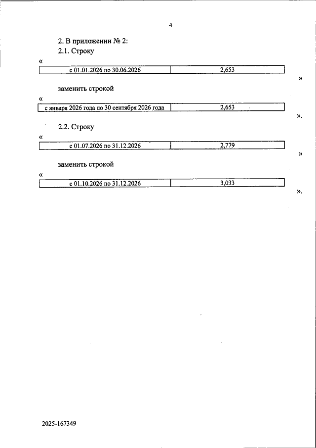
"О ВНЕСЕНИИ ИЗМЕНЕНИЙ В ПРИЛОЖЕНИЕ N 1 И ПРИЛОЖЕНИЕ N 2 К ПРИКАЗУ ФАС РОССИИ ОТ 22 ДЕКАБРЯ 2023 Г. N 1039/23"
(Зарегистрировано в Минюсте РФ 30.12.2025 N 84853)
Показывать страниц:
1
10
100
Для качественной печати:
PDF-файл документа (142 Кб)
<<
<
1
2
3
4
>
>>
Страница
4
из
4
<<
<
1
2
3
4
>
>>