Министерство Юстиции Российской Федерации
версия для слабовидящих
×
Закрыть
Информация об официальном опубликовании
Документ официально опубликован в "Бюллетене нормативных актов федеральных органов исполнительной власти", N 18, 06.05.2013
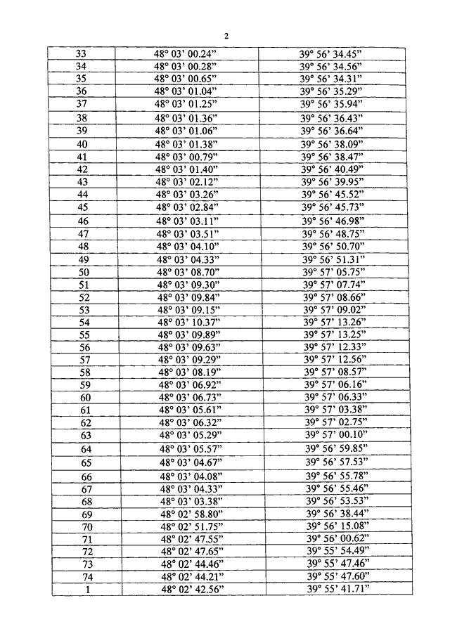
ПРИКАЗ Росграницы от 14.12.2012 N 298-ОД
"ОБ УТВЕРЖДЕНИИ ПРЕДЕЛОВ ЖЕЛЕЗНОДОРОЖНОГО ГРУЗО - ПАССАЖИРСКОГО ПОСТОЯННОГО МНОГОСТОРОННЕГО ПУНКТА ПРОПУСКА ЧЕРЕЗ ГОСУДАРСТВЕННУЮ ГРАНИЦУ РОССИЙСКОЙ ФЕДЕРАЦИИ ГУКОВО (РОСТОВСКАЯ ОБЛАСТЬ)"
(Зарегистрировано в Минюсте РФ 01.04.2013 N 27955)
Справка к документу
Показывать страниц:
1
10
100
Для качественной печати:
PDF-файл документа (142 Кб)
<<
<
1
2
3
>
>>
Страница
3
из
3
<<
<
1
2
3
>
>>