Министерство Юстиции Российской Федерации версия для слабовидящих
ПРИКАЗ Росгвардии от 15.10.2025 N 366
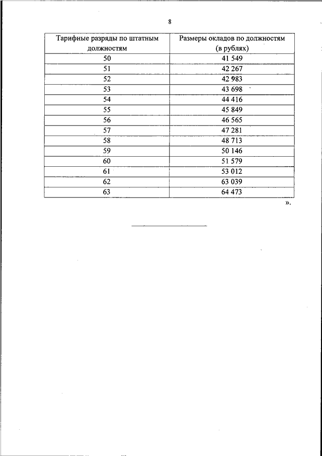
"О ВНЕСЕНИИ ИЗМЕНЕНИЙ В НЕКОТОРЫЕ НОРМАТИВНЫЕ ПРАВОВЫЕ АКТЫ ФЕДЕРАЛЬНОЙ СЛУЖБЫ ВОЙСК НАЦИОНАЛЬНОЙ ГВАРДИИ РОССИЙСКОЙ ФЕДЕРАЦИИ ПО ВОПРОСАМ ОБЕСПЕЧЕНИЯ ДЕНЕЖНЫМ ДОВОЛЬСТВИЕМ И ОТДЕЛЬНЫМИ ВЫПЛАТАМИ ЛИЧНОГО СОСТАВА ВОЙСК НАЦИОНАЛЬНОЙ ГВАРДИИ РОССИЙСКОЙ ФЕДЕРАЦИИ"
(Зарегистрировано в Минюсте РФ 26.11.2025 N 84288)
Показывать страниц:
Для качественной печати: PDF-файл документа (288 Кб)
Страница 8 из 8