Министерство Юстиции Российской Федерации версия для слабовидящих
ПРИКАЗ Минфина РФ от 01.10.2025 N 138н
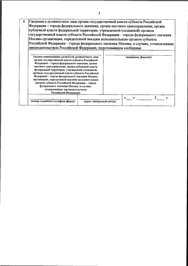
"ОБ УТВЕРЖДЕНИИ ФОРМ ДОКУМЕНТОВ, НАПРАВЛЯЕМЫХ В ОРГАН ГОСУДАРСТВЕННОЙ ВЛАСТИ, ОРГАН МЕСТНОГО САМОУПРАВЛЕНИЯ, ОРГАН ПУБЛИЧНОЙ ВЛАСТИ ФЕДЕРАЛЬНОЙ ТЕРРИТОРИИ, УЧРЕЖДЕННЫЕ (СОЗДАННЫЕ) ОРГАНОМ ГОСУДАРСТВЕННОЙ ВЛАСТИ СУБЪЕКТА РОССИЙСКОЙ ФЕДЕРАЦИИ - ГОРОДА ФЕДЕРАЛЬНОГО ЗНАЧЕНИЯ МОСКВЫ ОРГАНИЗАЦИИ, ОПРЕДЕЛЕННЫЕ ВЫСШИМ ИСПОЛНИТЕЛЬНЫМ ОРГАНОМ СУБЪЕКТА РОССИЙСКОЙ ФЕДЕРАЦИИ - ГОРОДА ФЕДЕРАЛЬНОГО ЗНАЧЕНИЯ МОСКВЫ, В СЛУЧАЯХ, УСТАНОВЛЕННЫХ ЗАКОНОДАТЕЛЬСТВОМ РОССИЙСКОЙ ФЕДЕРАЦИИ, ОПЕРАТОРУ ФЕДЕРАЛЬНОЙ ИНФОРМАЦИОННОЙ АДРЕСНОЙ СИСТЕМЫ, ПРИ ВЫЯВЛЕНИИ НЕСООТВЕТСТВИЯ СОДЕРЖАЩИХСЯ В ГОСУДАРСТВЕННОМ АДРЕСНОМ РЕЕСТРЕ СВЕДЕНИЙ ОБ АДРЕСАХ ТРЕБОВАНИЯМ, УСТАНОВЛЕННЫМ ЗАКОНОДАТЕЛЬСТВОМ РОССИЙСКОЙ ФЕДЕРАЦИИ, А ТАКЖЕ ПРИ ОТСУТСТВИИ В ГОСУДАРСТВЕННОМ АДРЕСНОМ РЕЕСТРЕ СВЕДЕНИЙ ОБ АДРЕСЕ"
(Зарегистрировано в Минюсте РФ 31.10.2025 N 84022)
Показывать страниц:
Для качественной печати: PDF-файл документа (1 Мб)
Страница 11 из 24