Министерство Юстиции Российской Федерации версия для слабовидящих
ПРИКАЗ Минспорта РФ от 16.09.2025 N 721
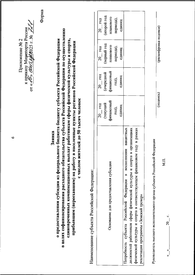
"ОБ УТВЕРЖДЕНИИ ПРИМЕРНОГО ПЕРЕЧНЯ ДОЛЖНОСТЕЙ РАБОТНИКОВ СФЕРЫ ФИЗИЧЕСКОЙ КУЛЬТУРЫ И СПОРТА, ПРИ ЗАМЕЩЕНИИ КОТОРЫХ ПРЕДОСТАВЛЯЮТСЯ ЕДИНОВРЕМЕННЫЕ КОМПЕНСАЦИОННЫЕ ВЫПЛАТЫ (ПРОГРАММНОГО РЕЕСТРА ДОЛЖНОСТЕЙ), А ТАКЖЕ ФОРМЫ ЗАЯВКИ О ПРЕДОСТАВЛЕНИИ СУБСИДИИ ИЗ ФЕДЕРАЛЬНОГО БЮДЖЕТА БЮДЖЕТУ СУБЪЕКТА РОССИЙСКОЙ ФЕДЕРАЦИИ В ЦЕЛЯХ СОФИНАНСИРОВАНИЯ РАСХОДНОГО ОБЯЗАТЕЛЬСТВА СУБЪЕКТА РОССИЙСКОЙ ФЕДЕРАЦИИ ПО ОСУЩЕСТВЛЕНИЮ ЕДИНОВРЕМЕННЫХ КОМПЕНСАЦИОННЫХ ВЫПЛАТ РАБОТНИКАМ СФЕРЫ ФИЗИЧЕСКОЙ КУЛЬТУРЫ И СПОРТА, ПРИБЫВШИМ (ПЕРЕЕХАВШИМ) НА РАБОТУ В НАСЕЛЕННЫЕ ПУНКТЫ РЕГИОНОВ РОССИЙСКОЙ ФЕДЕРАЦИИ С ЧИСЛОМ ЖИТЕЛЕЙ ДО 50 ТЫСЯЧ ЧЕЛОВЕК"
(Зарегистрировано в Минюсте РФ 28.10.2025 N 83969)
Показывать страниц:
Для качественной печати: PDF-файл документа (218 Кб)
Страница 6 из 6