Министерство Юстиции Российской Федерации версия для слабовидящих
ПРИКАЗ Минтранса РФ от 12.09.2025 N 286
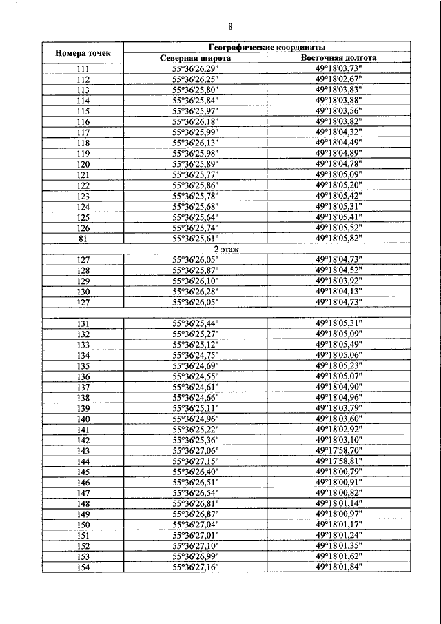
"О ВНЕСЕНИИ ИЗМЕНЕНИЙ В ПРЕДЕЛЫ ВОЗДУШНОГО ГРУЗО-ПАССАЖИРСКОГО ПОСТОЯННОГО МНОГОСТОРОННЕГО ПУНКТА ПРОПУСКА ЧЕРЕЗ ГОСУДАРСТВЕННУЮ ГРАНИЦУ РОССИЙСКОЙ ФЕДЕРАЦИИ В МЕЖДУНАРОДНОМ АЭРОПОРТУ КАЗАНЬ, УТВЕРЖДЕННЫЕ ПРИКАЗОМ МИНИСТЕРСТВА ТРАНСПОРТА РОССИЙСКОЙ ФЕДЕРАЦИИ ОТ 23 АПРЕЛЯ 2024 Г. N 142"
(Зарегистрировано в Минюсте РФ 21.10.2025 N 83897)
Показывать страниц:
Для качественной печати: PDF-файл документа (607 Кб)
Страница 9 из 10