Министерство Юстиции Российской Федерации версия для слабовидящих
ПРИКАЗ Минтранса РФ от 10.09.2025 N 277
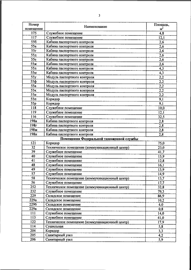
"ОБ ОТКРЫТИИ ВОЗДУШНОГО ГРУЗО - ПАССАЖИРСКОГО ПОСТОЯННОГО МНОГОСТОРОННЕГО ПУНКТА ПРОПУСКА ЧЕРЕЗ ГОСУДАРСТВЕННУЮ ГРАНИЦУ РОССИЙСКОЙ ФЕДЕРАЦИИ В МЕЖДУНАРОДНОМ АЭРОПОРТУ МОСКВА (ВНУКОВО), РЕКОНСТРУИРОВАННОГО В ПРЕДЕЛАХ АЭРОВОКЗАЛЬНОГО КОМПЛЕКСА ВНУКОВО-1 (ТЕРМИНАЛА А), И О ВНЕСЕНИИ ИЗМЕНЕНИЙ В ПРЕДЕЛЫ ВОЗДУШНОГО ГРУЗО - ПАССАЖИРСКОГО ПОСТОЯННОГО МНОГОСТОРОННЕГО ПУНКТА ПРОПУСКА ЧЕРЕЗ ГОСУДАРСТВЕННУЮ ГРАНИЦУ РОССИЙСКОЙ ФЕДЕРАЦИИ В МЕЖДУНАРОДНОМ АЭРОПОРТУ МОСКВА (ВНУКОВО), УТВЕРЖДЕННЫЕ ПРИКАЗОМ МИНИСТЕРСТВА ТРАНСПОРТА РОССИЙСКОЙ ФЕДЕРАЦИИ ОТ 24 ИЮЛЯ 2018 Г. N 279"
(Зарегистрировано в Минюсте РФ 20.10.2025 N 83880)
Показывать страниц:
Для качественной печати: PDF-файл документа (1 Мб)
Страница 5 из 18