Министерство Юстиции Российской Федерации версия для слабовидящих
ПРИКАЗ Росимущества от 17.12.2025 N 177
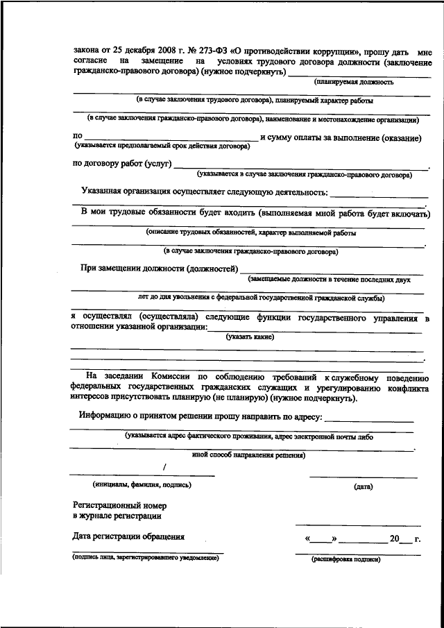
"ОБ УТВЕРЖДЕНИИ ПОРЯДКА ПОСТУПЛЕНИЯ В ФЕДЕРАЛЬНОЕ АГЕНТСТВО ПО УПРАВЛЕНИЮ ГОСУДАРСТВЕННЫМ ИМУЩЕСТВОМ И ЕГО ТЕРРИТОРИАЛЬНЫЕ ОРГАНЫ ОБРАЩЕНИЙ, ЗАЯВЛЕНИЙ И УВЕДОМЛЕНИЙ, ЯВЛЯЮЩИХСЯ ОСНОВАНИЯМИ ДЛЯ ПРОВЕДЕНИЯ ЗАСЕДАНИЯ КОМИССИЙ ПО СОБЛЮДЕНИЮ ТРЕБОВАНИЙ К СЛУЖЕБНОМУ ПОВЕДЕНИЮ ФЕДЕРАЛЬНЫХ ГОСУДАРСТВЕННЫХ ГРАЖДАНСКИХ СЛУЖАЩИХ ФЕДЕРАЛЬНОГО АГЕНТСТВА ПО УПРАВЛЕНИЮ ГОСУДАРСТВЕННЫМ ИМУЩЕСТВОМ И ЕГО ТЕРРИТОРИАЛЬНЫХ ОРГАНОВ И РАБОТНИКОВ ОРГАНИЗАЦИЙ, СОЗДАННЫХ ДЛЯ ВЫПОЛНЕНИЯ ЗАДАЧ, ПОСТАВЛЕННЫХ ПЕРЕД ФЕДЕРАЛЬНЫМ АГЕНТСТВОМ ПО УПРАВЛЕНИЮ ГОСУДАРСТВЕННЫМ ИМУЩЕСТВОМ, И УРЕГУЛИРОВАНИЮ КОНФЛИКТА ИНТЕРЕСОВ"
(Зарегистрировано в Минюсте РФ 02.02.2026 N 85187)
Показывать страниц:
Для качественной печати: PDF-файл документа (802 Кб)
Страница 11 из 18