Министерство Юстиции Российской Федерации версия для слабовидящих
ПРИКАЗ Федеральной антимонопольной службы от 24.12.2025 N 1161/25
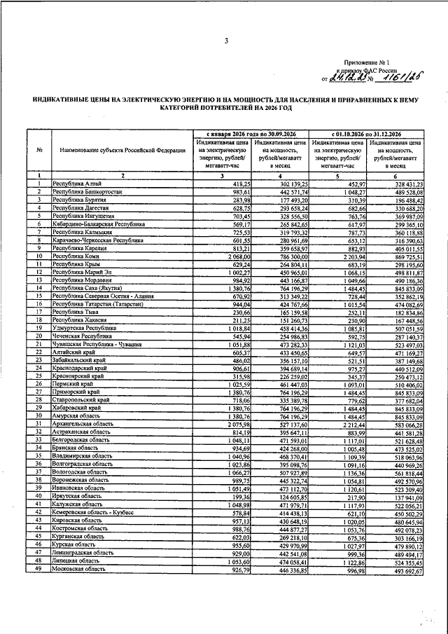
"ОБ УТВЕРЖДЕНИИ ИНДИКАТИВНЫХ ЦЕН НА ЭЛЕКТРИЧЕСКУЮ ЭНЕРГИЮ И НА МОЩНОСТЬ ДЛЯ НАСЕЛЕНИЯ И ПРИРАВНЕННЫХ К НЕМУ КАТЕГОРИЙ ПОТРЕБИТЕЛЕЙ НА 2026 ГОД, ИНДИКАТИВНЫХ ЦЕН НА ЭЛЕКТРИЧЕСКУЮ ЭНЕРГИЮ И НА МОЩНОСТЬ ДЛЯ ПОКУПАТЕЛЕЙ В ОТДЕЛЬНЫХ ЧАСТЯХ ЦЕНОВЫХ ЗОН ОПТОВОГО РЫНКА, В КОТОРЫХ ПРАВИТЕЛЬСТВОМ РОССИЙСКОЙ ФЕДЕРАЦИИ УСТАНОВЛЕНЫ ОСОБЕННОСТИ ФУНКЦИОНИРОВАНИЯ ОПТОВОГО И РОЗНИЧНЫХ РЫНКОВ, НА 2026 ГОД, А ТАКЖЕ ИНДИКАТИВНЫХ ЦЕН НА ЭЛЕКТРИЧЕСКУЮ ЭНЕРГИЮ И НА МОЩНОСТЬ ДЛЯ ПОКУПАТЕЛЕЙ - СУБЪЕКТОВ ОПТОВОГО РЫНКА ЭЛЕКТРИЧЕСКОЙ ЭНЕРГИИ (МОЩНОСТИ) НА ТЕРРИТОРИИ НЕЦЕНОВОЙ ЗОНЫ ОПТОВОГО РЫНКА НА 2026 ГОД"
(Зарегистрировано в Минюсте РФ 29.01.2026 N 85125)
Показывать страниц:
Для качественной печати: PDF-файл документа (309 Кб)
Страница 3 из 6