Министерство Юстиции Российской Федерации
версия для слабовидящих
×
Закрыть
Информация об официальном опубликовании
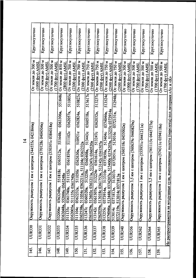
ПРИКАЗ Минтранса РФ от 24.11.2025 N 410
"ОБ УСТАНОВЛЕНИИ ПОСТОЯННЫХ ЗОН ОГРАНИЧЕНИЯ ПОЛЕТОВ И ВРЕМЕННЫХ ЗАРЕЗЕРВИРОВАННЫХ ЗОН ОГРАНИЧЕНИЯ ПОЛЕТОВ"
(Зарегистрировано в Минюсте РФ 20.01.2026 N 84997)
Показывать страниц:
1
10
100
Для качественной печати:
PDF-файл документа (14 Мб)
<<
<
11
12
13
14
15
16
17
18
19
20
21
>
>>
Страница
16
из
209
<<
<
11
12
13
14
15
16
17
18
19
20
21
>
>>