Министерство Юстиции Российской Федерации версия для слабовидящих
ПРИКАЗ Федеральной антимонопольной службы от 06.11.2025 N 894/25
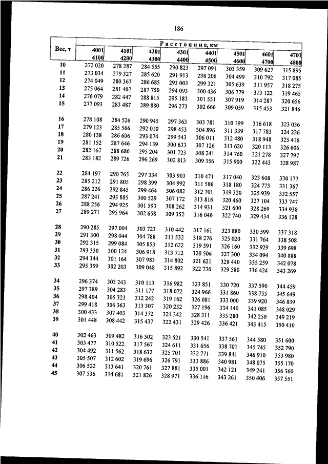
"ОБ УТВЕРЖДЕНИИ ПОРЯДКА РАСЧЕТА ТАРИФОВ НА ПЕРЕВОЗКИ ГРУЗОВ ЖЕЛЕЗНОДОРОЖНЫМ ТРАНСПОРТОМ ОБЩЕГО ПОЛЬЗОВАНИЯ И УСЛУГИ ПО ИСПОЛЬЗОВАНИЮ ИНФРАСТРУКТУРЫ ЖЕЛЕЗНОДОРОЖНОГО ТРАНСПОРТА ОБЩЕГО ПОЛЬЗОВАНИЯ, ВЫПОЛНЯЕМЫЕ ОАО "РЖД", А ТАКЖЕ СБОРОВ НА ДОПОЛНИТЕЛЬНЫЕ РАБОТЫ (УСЛУГИ), СВЯЗАННЫЕ С ПЕРЕВОЗКОЙ ГРУЗОВ ЖЕЛЕЗНОДОРОЖНЫМ ТРАНСПОРТОМ ОБЩЕГО ПОЛЬЗОВАНИЯ, И ТАРИФОВ НА ПЕРЕВОЗКИ ГРУЗОВ ЖЕЛЕЗНОДОРОЖНЫМ ТРАНСПОРТОМ ОБЩЕГО ПОЛЬЗОВАНИЯ И УСЛУГИ ПО ИСПОЛЬЗОВАНИЮ ИНФРАСТРУКТУРЫ ЖЕЛЕЗНОДОРОЖНОГО ТРАНСПОРТА ОБЩЕГО ПОЛЬЗОВАНИЯ, ВЫПОЛНЯЕМЫЕ ОАО "РЖД", СБОРОВ НА ДОПОЛНИТЕЛЬНЫЕ РАБОТЫ (УСЛУГИ), СВЯЗАННЫЕ С ПЕРЕВОЗКОЙ ГРУЗОВ ЖЕЛЕЗНОДОРОЖНЫМ ТРАНСПОРТОМ ОБЩЕГО ПОЛЬЗОВАНИЯ (ТАРИФНОЕ РУКОВОДСТВО N 1)"
(Зарегистрировано в Минюсте РФ 22.12.2025 N 84708)
Показывать страниц:
Для качественной печати: PDF-файл документа (26 Мб)
Страница 186 из 550