Министерство Юстиции Российской Федерации версия для слабовидящих
ПРИКАЗ СФР от 17.11.2025 N 1463
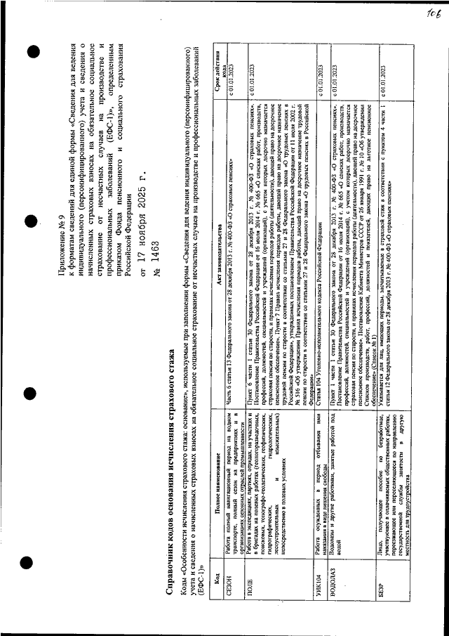
"ОБ ОПРЕДЕЛЕНИИ ФОРМАТОВ СВЕДЕНИЙ ДЛЯ ЕДИНОЙ ФОРМЫ "СВЕДЕНИЯ ДЛЯ ВЕДЕНИЯ ИНДИВИДУАЛЬНОГО (ПЕРСОНИФИЦИРОВАННОГО) УЧЕТА И СВЕДЕНИЯ О НАЧИСЛЕННЫХ СТРАХОВЫХ ВЗНОСАХ НА ОБЯЗАТЕЛЬНОЕ СОЦИАЛЬНОЕ СТРАХОВАНИЕ ОТ НЕСЧАСТНЫХ СЛУЧАЕВ НА ПРОИЗВОДСТВЕ И ПРОФЕССИОНАЛЬНЫХ ЗАБОЛЕВАНИЙ (ЕФС-1)"
(Зарегистрировано в Минюсте РФ 18.12.2025 N 84664)
Показывать страниц:
Для качественной печати: PDF-файл документа (19 Мб)
Страница 106 из 216