Министерство Юстиции Российской Федерации версия для слабовидящих
ПРИКАЗ ФНС РФ от 25.11.2025 N ЕД-7-2/1009@
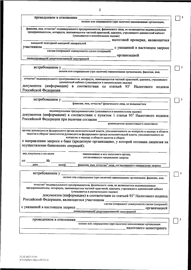
"ОБ УТВЕРЖДЕНИИ ФОРМ И ФОРМАТОВ НАПРАВЛЕНИЯ НАЛОГОВЫМ ОРГАНОМ ЗАПРОСОВ В БАНК (ОПЕРАТОРУ ПО ПЕРЕВОДУ ДЕНЕЖНЫХ СРЕДСТВ), ОПЕРАТОРУ ПЛАТФОРМЫ ЦИФРОВОГО РУБЛЯ В ЭЛЕКТРОННОЙ ФОРМЕ"
(Зарегистрировано в Минюсте РФ 15.12.2025 N 84593)
Показывать страниц:
Для качественной печати: PDF-файл документа (12 Мб)
Страница 20 из 91