Министерство Юстиции Российской Федерации версия для слабовидящих
ПРИКАЗ Рособрнадзора от 17.09.2025 N 1638
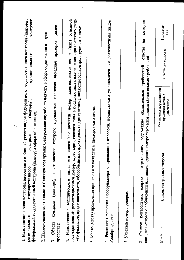
"О ВНЕСЕНИИ ИЗМЕНЕНИЙ В ПРИКАЗ ФЕДЕРАЛЬНОЙ СЛУЖБЫ ПО НАДЗОРУ В СФЕРЕ ОБРАЗОВАНИЯ И НАУКИ ОТ 2 МАЯ 2024 Г. N 955 "ОБ УТВЕРЖДЕНИИ ФОРМ ПРОВЕРОЧНЫХ ЛИСТОВ, ИСПОЛЬЗУЕМЫХ ПРИ ОСУЩЕСТВЛЕНИИ ФЕДЕРАЛЬНОГО ГОСУДАРСТВЕННОГО КОНТРОЛЯ (НАДЗОРА) В СФЕРЕ ОБРАЗОВАНИЯ"
(Зарегистрировано в Минюсте РФ 09.12.2025 N 84526)
Показывать страниц:
Для качественной печати: PDF-файл документа (6 Мб)
Страница 6 из 108