Министерство Юстиции Российской Федерации версия для слабовидящих
ПРИКАЗ Минприроды РФ от 30.09.2025 N 504
"ОБ УСТАНОВЛЕНИИ ГРАНИЦ ОХРАННОЙ ЗОНЫ УЧАСТКА N 2 "СУВОРОВСКОЕ ЛЕСНИЧЕСТВО" ГОСУДАРСТВЕННОГО ПРИРОДНОГО ЗАПОВЕДНИКА "УССУРИЙСКИЙ" ИМ. В.Л. КОМАРОВА, А ТАКЖЕ ОБ УТВЕРЖДЕНИИ ПОЛОЖЕНИЯ ОБ ОХРАННОЙ ЗОНЕ ГОСУДАРСТВЕННОГО ПРИРОДНОГО ЗАПОВЕДНИКА "УССУРИЙСКИЙ" ИМ. В.Л. КОМАРОВА"
(Зарегистрировано в Минюсте РФ 20.11.2025 N 84236)
Показывать страниц:
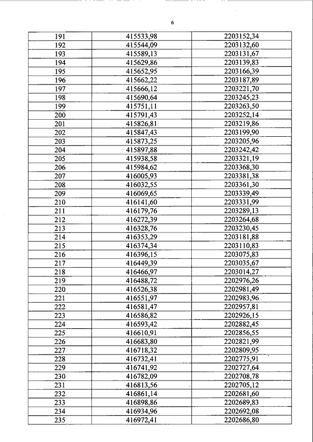
Для качественной печати: PDF-файл документа (12 Мб)
Страница 7 из 27