Министерство Юстиции Российской Федерации версия для слабовидящих
ПРИКАЗ Минкультуры РФ от 06.10.2025 N 1779
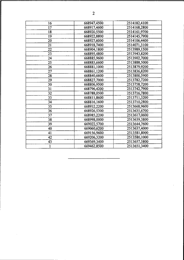
"О ВКЛЮЧЕНИИ ВЫЯВЛЕННОГО ОБЪЕКТА КУЛЬТУРНОГО НАСЛЕДИЯ (ПАМЯТНИКА ИСТОРИИ И КУЛЬТУРЫ) НАРОДОВ РОССИЙСКОЙ ФЕДЕРАЦИИ "КАМЕННАЯ СТЕНА НАБЕРЕЖНОЙ И СТЕНКИ БОТАРДО", 1714 Г. (АРХАНГЕЛЬСКАЯ ОБЛАСТЬ, ГОРОДСКОЙ ОКРУГ "ГОРОД АРХАНГЕЛЬСК", В 55 МЕТРАХ К ЗАПАДУ ОТ ЗДАНИЯ ПО АДРЕСУ: ГОРОД АРХАНГЕЛЬСК, УЛИЦА ИВАНА РЯБОВА, ДОМ 17, СТРОЕНИЕ 5) В ЕДИНЫЙ ГОСУДАРСТВЕННЫЙ РЕЕСТР ОБЪЕКТОВ КУЛЬТУРНОГО НАСЛЕДИЯ (ПАМЯТНИКОВ ИСТОРИИ И КУЛЬТУРЫ) НАРОДОВ РОССИЙСКОЙ ФЕДЕРАЦИИ В СОСТАВЕ ОБЪЕКТА КУЛЬТУРНОГО НАСЛЕДИЯ (ПАМЯТНИКА ИСТОРИИ И КУЛЬТУРЫ) НАРОДОВ РОССИЙСКОЙ ФЕДЕРАЦИИ ФЕДЕРАЛЬНОГО ЗНАЧЕНИЯ "НОВОДВИНСКАЯ КРЕПОСТЬ", 1701 - 1714 ГГ. (АРХАНГЕЛЬСКАЯ ОБЛАСТЬ, ГОРОДСКОЙ ОКРУГ "ГОРОД АРХАНГЕЛЬСК", ГОРОД АРХАНГЕЛЬСК, УЛИЦА ИВАНА РЯБОВА, ДОМ 17) В КАЧЕСТВЕ ОБЪЕКТА КУЛЬТУРНОГО НАСЛЕДИЯ (ПАМЯТНИКА ИСТОРИИ И КУЛЬТУРЫ) НАРОДОВ РОССИЙСКОЙ ФЕДЕРАЦИИ ФЕДЕРАЛЬНОГО ЗНАЧЕНИЯ И УТВЕРЖДЕНИИ ГРАНИЦ ЕГО ТЕРРИТОРИИ"
(Зарегистрировано в Минюсте РФ 13.10.2025 N 84168)
Показывать страниц:
Для качественной печати: PDF-файл документа (9 Мб)
Страница 6 из 6