Министерство Юстиции Российской Федерации версия для слабовидящих
ПРИКАЗ Минкультуры РФ от 06.10.2025 N 1775
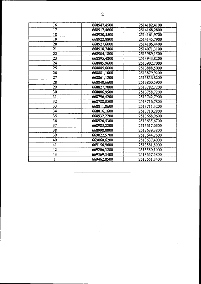
"О ВКЛЮЧЕНИИ ВЫЯВЛЕННОГО ОБЪЕКТА КУЛЬТУРНОГО НАСЛЕДИЯ (ПАМЯТНИКА ИСТОРИИ И КУЛЬТУРЫ) НАРОДОВ РОССИЙСКОЙ ФЕДЕРАЦИИ "СЕВЕРНЫЙ РАВЕЛИН", 1710 - 1712 ГГ. (АРХАНГЕЛЬСКАЯ ОБЛАСТЬ, ГОРОДСКОЙ ОКРУГ "ГОРОД АРХАНГЕЛЬСК", В 120 МЕТРАХ К СЕВЕРО-ВОСТОКУ ОТ ЗДАНИЯ ПО АДРЕСУ: ГОРОД АРХАНГЕЛЬСК, УЛИЦА ИВАНА РЯБОВА, ДОМ 17, СТРОЕНИЕ 6) В ЕДИНЫЙ ГОСУДАРСТВЕННЫЙ РЕЕСТР ОБЪЕКТОВ КУЛЬТУРНОГО НАСЛЕДИЯ (ПАМЯТНИКОВ ИСТОРИИ И КУЛЬТУРЫ) НАРОДОВ РОССИЙСКОЙ ФЕДЕРАЦИИ В СОСТАВЕ ОБЪЕКТА КУЛЬТУРНОГО НАСЛЕДИЯ (ПАМЯТНИКА ИСТОРИИ И КУЛЬТУРЫ) НАРОДОВ РОССИЙСКОЙ ФЕДЕРАЦИИ ФЕДЕРАЛЬНОГО ЗНАЧЕНИЯ "НОВОДВИНСКАЯ КРЕПОСТЬ", 1701 - 1714 ГГ. (АРХАНГЕЛЬСКАЯ ОБЛАСТЬ, ГОРОДСКОЙ ОКРУГ "ГОРОД АРХАНГЕЛЬСК", ГОРОД АРХАНГЕЛЬСК, УЛИЦА ИВАНА РЯБОВА, ДОМ 17) В КАЧЕСТВЕ ОБЪЕКТА КУЛЬТУРНОГО НАСЛЕДИЯ (ПАМЯТНИКА ИСТОРИИ И КУЛЬТУРЫ) НАРОДОВ РОССИЙСКОЙ ФЕДЕРАЦИИ ФЕДЕРАЛЬНОГО ЗНАЧЕНИЯ И УТВЕРЖДЕНИИ ГРАНИЦ ЕГО ТЕРРИТОРИИ"
(Зарегистрировано в Минюсте РФ 13.10.2025 N 84164)
Показывать страниц:
Для качественной печати: PDF-файл документа (11 Мб)
Страница 6 из 6