Министерство Юстиции Российской Федерации версия для слабовидящих
ПРИКАЗ ФНС РФ от 20.10.2025 N ЕД-7-11/913@
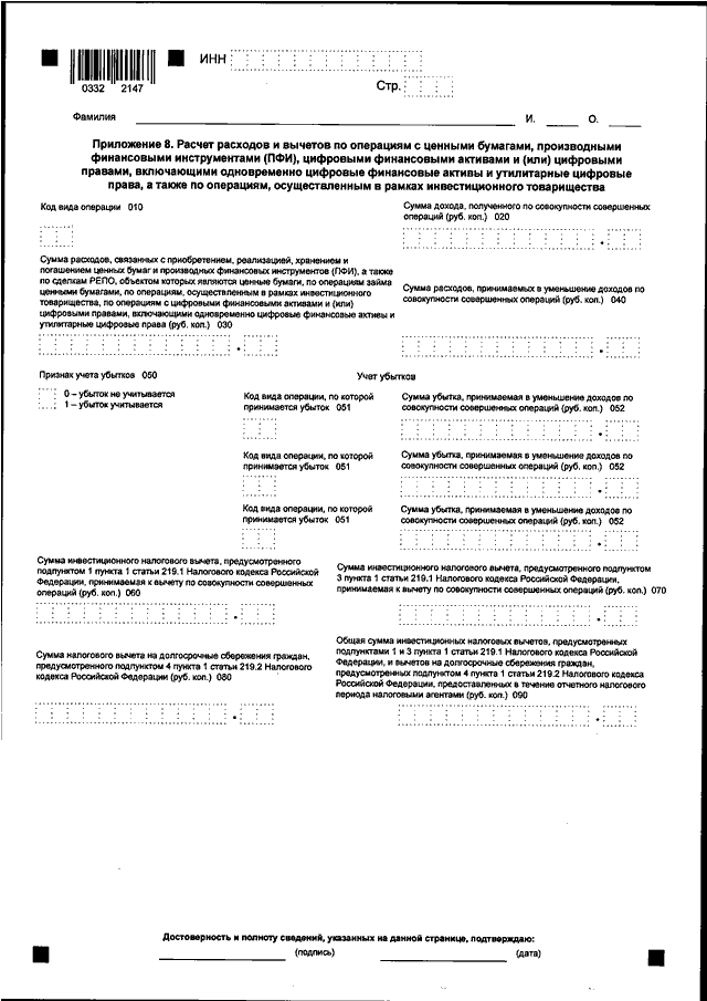
"ОБ УТВЕРЖДЕНИИ ФОРМЫ НАЛОГОВОЙ ДЕКЛАРАЦИИ ПО НАЛОГУ НА ДОХОДЫ ФИЗИЧЕСКИХ ЛИЦ (ФОРМА 3-НДФЛ), ПОРЯДКА ЕЕ ЗАПОЛНЕНИЯ, А ТАКЖЕ ФОРМАТА ПРЕДСТАВЛЕНИЯ НАЛОГОВОЙ ДЕКЛАРАЦИИ ПО НАЛОГУ НА ДОХОДЫ ФИЗИЧЕСКИХ ЛИЦ В ЭЛЕКТРОННОЙ ФОРМЕ"
(Зарегистрировано в Минюсте РФ 31.10.2025 N 84028)
Показывать страниц:
Для качественной печати: PDF-файл документа (23 Мб)
Страница 16 из 128