Министерство Юстиции Российской Федерации
версия для слабовидящих
×
Закрыть
Информация об официальном опубликовании
ПРИКАЗ Минприроды РФ от 14.07.2025 N 391
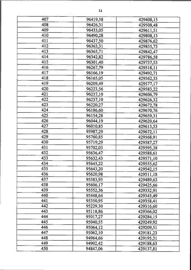
"ОБ УСТАНОВЛЕНИИ ГРАНИЦ ОХРАННОЙ ЗОНЫ НАЦИОНАЛЬНОГО ПАРКА "САМУРСКИЙ", А ТАКЖЕ ОБ УТВЕРЖДЕНИИ ПОЛОЖЕНИЯ О ДАННОЙ ОХРАННОЙ ЗОНЕ"
(Зарегистрировано в Минюсте РФ 17.10.2025 N 83871)
Показывать страниц:
1
10
100
Для качественной печати:
PDF-файл документа (16 Мб)
<<
<
7
8
9
10
11
12
13
14
15
16
17
>
>>
Страница
12
из
56
<<
<
7
8
9
10
11
12
13
14
15
16
17
>
>>