Министерство Юстиции Российской Федерации версия для слабовидящих
ПРИКАЗ Минпросвещения России от 31.08.2025 N 639
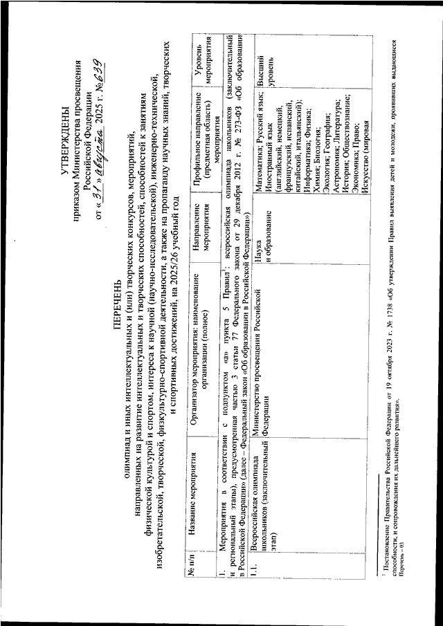
"ОБ УТВЕРЖДЕНИИ ПЕРЕЧНЯ ОЛИМПИАД И ИНЫХ ИНТЕЛЛЕКТУАЛЬНЫХ И (ИЛИ) ТВОРЧЕСКИХ КОНКУРСОВ, МЕРОПРИЯТИЙ, НАПРАВЛЕННЫХ НА РАЗВИТИЕ ИНТЕЛЛЕКТУАЛЬНЫХ И ТВОРЧЕСКИХ СПОСОБНОСТЕЙ, СПОСОБНОСТЕЙ К ЗАНЯТИЯМ ФИЗИЧЕСКОЙ КУЛЬТУРОЙ И СПОРТОМ, ИНТЕРЕСА К НАУЧНОЙ (НАУЧНО - ИССЛЕДОВАТЕЛЬСКОЙ), ИНЖЕНЕРНО - ТЕХНИЧЕСКОЙ, ИЗОБРЕТАТЕЛЬСКОЙ, ТВОРЧЕСКОЙ, ФИЗКУЛЬТУРНО - СПОРТИВНОЙ ДЕЯТЕЛЬНОСТИ, А ТАКЖЕ НА ПРОПАГАНДУ НАУЧНЫХ ЗНАНИЙ, ТВОРЧЕСКИХ И СПОРТИВНЫХ ДОСТИЖЕНИЙ, НА 2025/2Б УЧЕБНЫЙ ГОД"
(Зарегистрировано в Минюсте РФ 16.10.2025 N 83853)
Показывать страниц:
Для качественной печати: PDF-файл документа (17 Мб)
Страница 3 из 266