Министерство Юстиции Российской Федерации версия для слабовидящих
УКАЗАНИЕ ЦБ РФ от 17.06.2025 N 7083-У
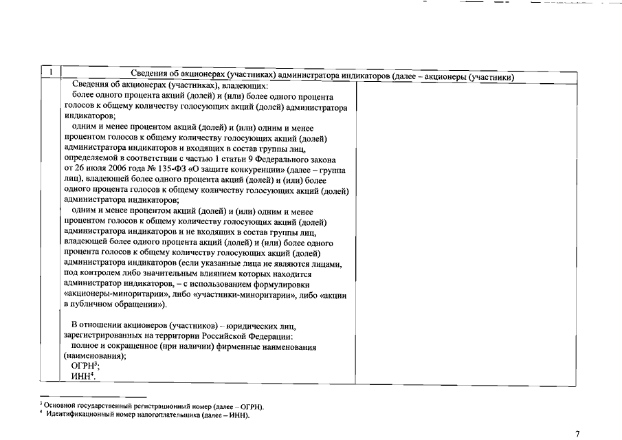
"О ПОРЯДКЕ И СРОКАХ ПРЕДСТАВЛЕНИЯ В БАНК РОССИИ АДМИНИСТРАТОРОМ ИНДИКАТОРОВ ИНФОРМАЦИИ О СТРУКТУРЕ И СОСТАВЕ СВОИХ АКЦИОНЕРОВ (УЧАСТНИКОВ), ЕЕ ФОРМЕ, ПОРЯДКЕ ОСУЩЕСТВЛЕНИЯ БАНКОМ РОССИИ ОЦЕНКИ СООТВЕТСТВИЯ ЛИЦА, УКАЗАННОГО В ЧАСТИ 1 СТАТЬИ 6 ФЕДЕРАЛЬНОГО ЗАКОНА ОТ 13 ДЕКАБРЯ 2024 Г. N 452-ФЗ "ОБ АДМИНИСТРАТОРАХ ФИНАНСОВЫХ И ТОВАРНЫХ ИНДИКАТОРОВ", ТРЕБОВАНИЯМ, УСТАНОВЛЕННЫМ УКАЗАННЫМ ФЕДЕРАЛЬНЫМ ЗАКОНОМ"
(Зарегистрировано в Минюсте РФ 11.09.2025 N 83517)
Показывать страниц:
Для качественной печати: PDF-файл документа (677 Кб)
Страница 7 из 17