Министерство Юстиции Российской Федерации
версия для слабовидящих
×
Закрыть
Информация об официальном опубликовании
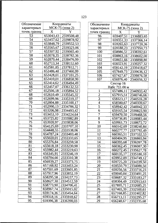
ПРИКАЗ Росавиации от 20.05.2025 N 342-П
"ОБ УСТАНОВЛЕНИИ ПРИАЭРОДРОМНОЙ ТЕРРИТОРИИ АЭРОДРОМА ГРАЖДАНСКОЙ АВИАЦИИ ЧИТА (КАДАЛА)"
(Зарегистрировано в Минюсте РФ 20.06.2025 N 82665)
Показывать страниц:
1
10
100
Для качественной печати:
PDF-файл документа (108 Мб)
<<
<
119
120
121
122
123
124
125
126
127
128
129
>
>>
Страница
124
из
225
<<
<
119
120
121
122
123
124
125
126
127
128
129
>
>>