Министерство Юстиции Российской Федерации
версия для слабовидящих
×
Закрыть
Информация об официальном опубликовании
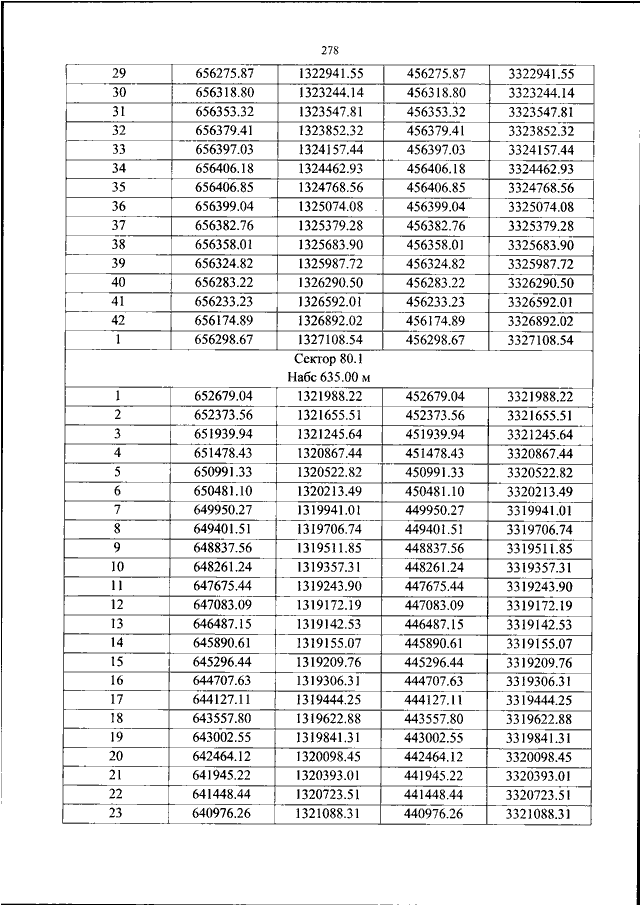
ПРИКАЗ Росавиации от 31.03.2025 N 240-П
"ОБ УСТАНОВЛЕНИИ ПРИАЭРОДРОМНОЙ ТЕРРИТОРИИ АЭРОДРОМА ГРАЖДАНСКОЙ АВИАЦИИ ГОРНО - АЛТАЙСК"
(Зарегистрировано в Минюсте РФ 29.04.2025 N 82013)
Показывать страниц:
1
10
100
Для качественной печати:
PDF-файл документа (57 Мб)
<<
<
274
275
276
277
278
279
280
281
282
283
284
>
>>
Страница
279
из
393
<<
<
274
275
276
277
278
279
280
281
282
283
284
>
>>