Министерство Юстиции Российской Федерации
версия для слабовидящих
×
Закрыть
Информация об официальном опубликовании
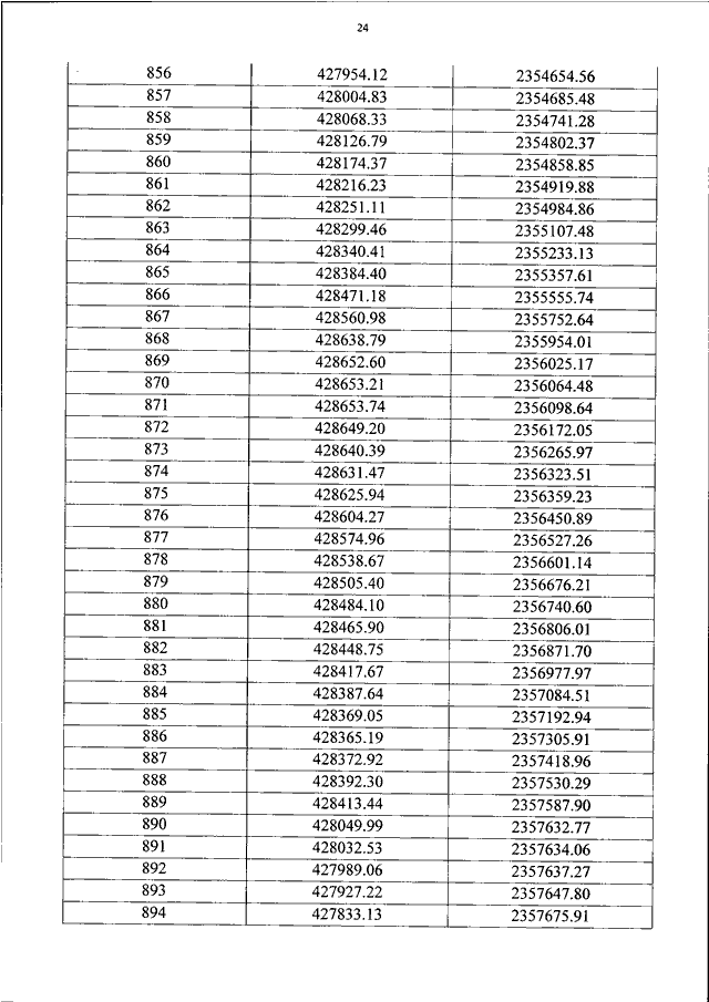
ПРИКАЗ Минприроды РФ от 29.01.2025 N 45
"ОБ УСТАНОВЛЕНИИ ГРАНИЦ ОХРАННОЙ ЗОНЫ НАЦИОНАЛЬНОГО ПАРКА "ЗОВ ТИГРА", А ТАКЖЕ ОБ УТВЕРЖДЕНИИ ПОЛОЖЕНИЯ О ДАННОЙ ОХРАННОЙ ЗОНЕ"
(Зарегистрировано в Минюсте РФ 28.04.2025 N 81994)
Показывать страниц:
1
10
100
Для качественной печати:
PDF-файл документа (9 Мб)
<<
<
20
21
22
23
24
25
26
27
28
29
30
>
>>
Страница
25
из
62
<<
<
20
21
22
23
24
25
26
27
28
29
30
>
>>