Министерство Юстиции Российской Федерации
версия для слабовидящих
×
Закрыть
Информация об официальном опубликовании
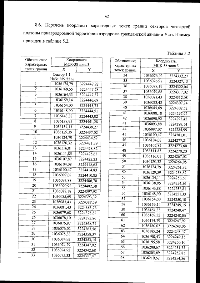
ПРИКАЗ Росавиации от 29.01.2025 N 46-П
"ОБ УСТАНОВЛЕНИИ ПРИАЭРОДРОМНОЙ ТЕРРИТОРИИ АЭРОДРОМА ГРАЖДАНСКОЙ АВИАЦИИ УСТЬ-ИЛИМСК"
(Зарегистрировано в Минюсте РФ 14.03.2025 N 81555)
Показывать страниц:
1
10
100
Для качественной печати:
PDF-файл документа (91 Мб)
<<
<
58
59
60
61
62
63
64
65
66
67
68
>
>>
Страница
63
из
122
<<
<
58
59
60
61
62
63
64
65
66
67
68
>
>>