Министерство Юстиции Российской Федерации
версия для слабовидящих
×
Закрыть
Информация об официальном опубликовании
ПРИКАЗ Росавиации от 29.01.2025 N 46-П
"ОБ УСТАНОВЛЕНИИ ПРИАЭРОДРОМНОЙ ТЕРРИТОРИИ АЭРОДРОМА ГРАЖДАНСКОЙ АВИАЦИИ УСТЬ-ИЛИМСК"
(Зарегистрировано в Минюсте РФ 14.03.2025 N 81555)
Показывать страниц:
1
10
100
Для качественной печати:
PDF-файл документа (91 Мб)
<<
<
18
19
20
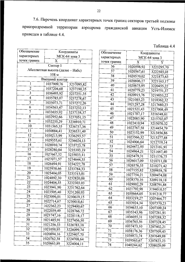
21
22
23
24
25
26
27
28
>
>>
Страница
23
из
122
<<
<
18
19
20
21
22
23
24
25
26
27
28
>
>>