Министерство Юстиции Российской Федерации версия для слабовидящих
ПРИКАЗ Росприроднадзора от 21.02.2025 N 110
"ОБ УТВЕРЖДЕНИИ ПОРЯДКА АТТЕСТАЦИИ ЭКСПЕРТОВ ГОСУДАРСТВЕННОЙ ЭКОЛОГИЧЕСКОЙ ЭКСПЕРТИЗЫ, В ТОМ ЧИСЛЕ ТРЕБОВАНИЙ К ТАКИМ ЭКСПЕРТАМ, ФОРМЫ ЗАЯВЛЕНИЯ ОБ АТТЕСТАЦИИ ЭКСПЕРТА, ПЕРЕЧНЯ ОБЛАСТЕЙ АТТЕСТАЦИИ В СООТВЕТСТВИИ С ОБЪЕКТАМИ ГОСУДАРСТВЕННОЙ ЭКОЛОГИЧЕСКОЙ ЭКСПЕРТИЗЫ, ПОЛОЖЕНИЯ ОБ АТТЕСТАЦИОННОЙ КОМИССИИ, ТРЕБОВАНИЙ К ПРОВЕДЕНИЮ КВАЛИФИКАЦИОННОГО ЭКЗАМЕНА, ПЕРЕЧНЯ ВОПРОСОВ, ПРЕДЛАГАЕМЫХ НА КВАЛИФИКАЦИОННОМ ЭКЗАМЕНЕ, УСЛОВИЙ, ПРИ СООТВЕТСТВИИ ФИЗИЧЕСКИХ ЛИЦ КОТОРЫМ ИХ АТТЕСТАЦИЯ ПРОВОДИТСЯ БЕЗ КВАЛИФИКАЦИОННОГО ЭКЗАМЕНА С УЧЕТОМ ОСОБЕННОСТЕЙ, ПРЕДУСМОТРЕННЫХ НАСТОЯЩИМ ПОРЯДКОМ, А ТАКЖЕ ПОРЯДКА ФОРМИРОВАНИЯ И ВЕДЕНИЯ РЕЕСТРА АТТЕСТОВАННЫХ ЭКСПЕРТОВ ГОСУДАРСТВЕННОЙ ЭКОЛОГИЧЕСКОЙ ЭКСПЕРТИЗЫ"
(Зарегистрировано в Минюсте РФ 28.02.2025 N 81423)
Показывать страниц:
Для качественной печати: PDF-файл документа (6 Мб)
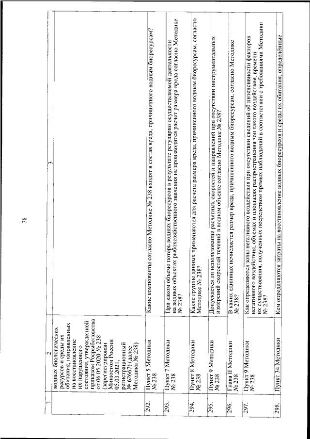
Страница 79 из 112