Министерство Юстиции Российской Федерации
версия для слабовидящих
×
Закрыть
Информация об официальном опубликовании
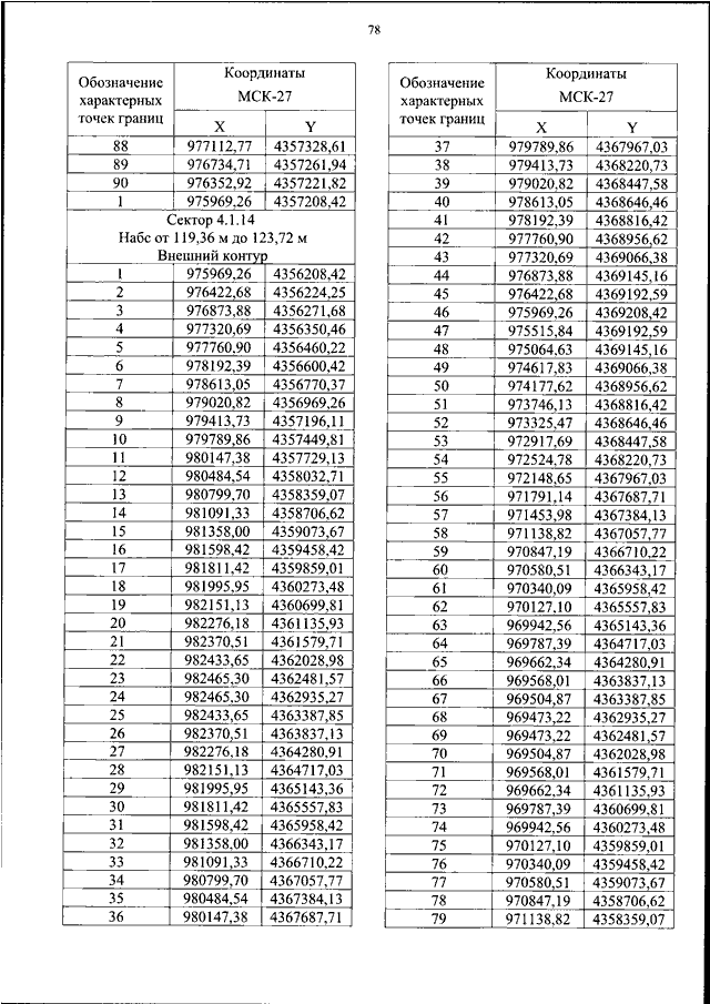
ПРИКАЗ Росавиации от 17.01.2025 N 14-П
"ОБ УСТАНОВЛЕНИИ ПРИАЭРОДРОМНОЙ ТЕРРИТОРИИ АЭРОДРОМА ГРАЖДАНСКОЙ АВИАЦИИ НИКОЛАЕВСК-НА-АМУРЕ"
(Зарегистрировано в Минюсте РФ 17.02.2025 N 81278)
Показывать страниц:
1
10
100
Для качественной печати:
PDF-файл документа (85 Мб)
<<
<
74
75
76
77
78
79
80
81
82
83
84
>
>>
Страница
79
из
203
<<
<
74
75
76
77
78
79
80
81
82
83
84
>
>>