Министерство Юстиции Российской Федерации
версия для слабовидящих
×
Закрыть
Информация об официальном опубликовании
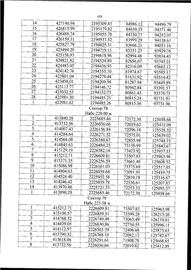
ПРИКАЗ Росавиации от 24.12.2024 N 1161-П
"ОБ УСТАНОВЛЕНИИ ПРИАЭРОДРОМНОЙ ТЕРРИТОРИИ АЭРОДРОМА ГРАЖДАНСКОЙ АВИАЦИИ САНКТ-ПЕТЕРБУРГ (ПУЛКОВО)"
(Зарегистрировано в Минюсте РФ 31.01.2025 N 81110)
Показывать страниц:
1
10
100
Для качественной печати:
PDF-файл документа (124 Мб)
<<
<
454
455
456
457
458
459
460
461
462
463
464
>
>>
Страница
459
из
616
<<
<
454
455
456
457
458
459
460
461
462
463
464
>
>>