Министерство Юстиции Российской Федерации версия для слабовидящих
ПРИКАЗ Минкультуры РФ от 23.09.2024 N 1823
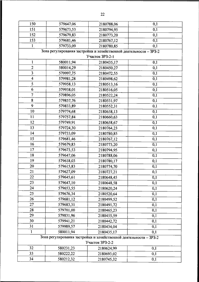
"ОБ УТВЕРЖДЕНИИ ГРАНИЦ ЗОН ОХРАНЫ ОБЪЕКТА КУЛЬТУРНОГО НАСЛЕДИЯ (ПАМЯТНИКА ИСТОРИИ И КУЛЬТУРЫ) НАРОДОВ РОССИЙСКОЙ ФЕДЕРАЦИИ ФЕДЕРАЛЬНОГО ЗНАЧЕНИЯ "АНСАМБЛЬ АНТОНИЕВА МОНАСТЫРЯ И НОВГОРОДСКОЙ ДУХОВНОЙ СЕМИНАРИИ, XII - XX ВЕКА" (НОВГОРОДСКАЯ ОБЛАСТЬ, Г. ВЕЛИКИЙ НОВГОРОД, АНТОНОВО), ВКЛЮЧЕННОГО В СПИСОК ВСЕМИРНОГО НАСЛЕДИЯ, ОСОБЫХ РЕЖИМОВ ИСПОЛЬЗОВАНИЯ ЗЕМЕЛЬ И ТРЕБОВАНИЙ К ГРАДОСТРОИТЕЛЬНЫМ РЕГЛАМЕНТАМ В ГРАНИЦАХ ТЕРРИТОРИЙ ДАННЫХ ЗОН"
(Зарегистрировано в Минюсте РФ 15.01.2025 N 80925)
Показывать страниц:
Для качественной печати: PDF-файл документа (21 Мб)
Страница 22 из 53