Министерство Юстиции Российской Федерации версия для слабовидящих
ПОЛОЖЕНИЕ ЦБ РФ от 16.09.2024 N 841-П
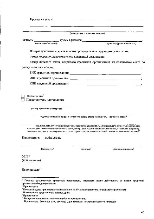
"ОБ ОСУЩЕСТВЛЕНИИ БАНКОМ РОССИИ БЮДЖЕТНЫХ ПОЛНОМОЧИЙ ГЛАВНОГО АДМИНИСТРАТОРА (АДМИНИСТРАТОРА) ДОХОДОВ ФЕДЕРАЛЬНОГО БЮДЖЕТА, ДОХОДОВ БЮДЖЕТОВ СУБЪЕКТОВ РОССИЙСКОЙ ФЕДЕРАЦИИ И МЕСТНЫХ БЮДЖЕТОВ"
(Зарегистрировано в Минюсте РФ 20.12.2024 N 80672)
Показывать страниц:
Для качественной печати: PDF-файл документа (3 Мб)
Страница 46 из 52