Министерство Юстиции Российской Федерации версия для слабовидящих
ПРИКАЗ ФНС РФ от 18.10.2024 N ЕД-7-11/871@
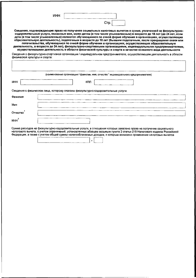
"ОБ УТВЕРЖДЕНИИ ФОРМ ДОКУМЕНТОВ, ИСПОЛЬЗУЕМЫХ ПРИ ПОЛУЧЕНИИ НАЛОГОВЫХ ВЫЧЕТОВ ПО НАЛОГУ НА ДОХОДЫ ФИЗИЧЕСКИХ ЛИЦ В УПРОЩЕННОМ ПОРЯДКЕ, А ТАКЖЕ ФОРМАТОВ ПРЕДСТАВЛЕНИЯ ЗАЯВЛЕНИЙ О ПОЛУЧЕНИИ НАЛОГОВЫХ ВЫЧЕТОВ ПО НАЛОГУ НА ДОХОДЫ ФИЗИЧЕСКИХ ЛИЦ В УПРОЩЕННОМ ПОРЯДКЕ В ЭЛЕКТРОННОЙ ФОРМЕ"
(Зарегистрировано в Минюсте РФ 29.11.2024 N 80403)
Показывать страниц:
Для качественной печати: PDF-файл документа (5 Мб)
Страница 12 из 92