Министерство Юстиции Российской Федерации
версия для слабовидящих
×
Закрыть
Информация об официальном опубликовании
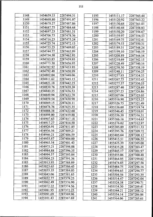
ПРИКАЗ Росавиации от 23.10.2024 N 949-П
"ОБ УСТАНОВЛЕНИИ ПРИАЭРОДРОМНОЙ ТЕРРИТОРИИ АЭРОДРОМА ГРАЖДАНСКОЙ АВИАЦИИ ПОЛЯРНЫЙ"
(Зарегистрировано в Минюсте РФ 11.12.2024 N 80528)
Показывать страниц:
1
10
100
Для качественной печати:
PDF-файл документа (146 Мб)
<<
<
208
209
210
211
212
213
214
215
216
217
218
>
>>
Страница
213
из
805
<<
<
208
209
210
211
212
213
214
215
216
217
218
>
>>