Министерство Юстиции Российской Федерации версия для слабовидящих
ПРИКАЗ Минкультуры РФ от 13.08.2024 N 1548
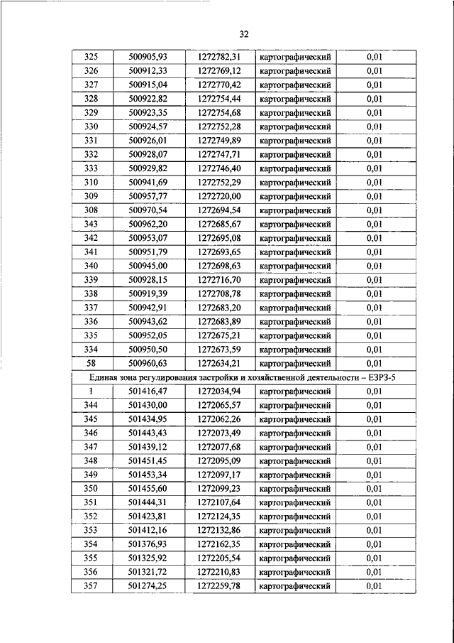
"ОБ УТВЕРЖДЕНИИ ГРАНИЦ ОБЪЕДИНЕННОЙ ЗОНЫ ОХРАНЫ ОБЪЕКТОВ КУЛЬТУРНОГО НАСЛЕДИЯ ФЕДЕРАЛЬНОГО ЗНАЧЕНИЯ "ТРОИЦКИЙ КАФЕДРАЛЬНЫЙ СОБОР С КОЛОКОЛЬНЕЙ", XVII В., 1830 Г. И "ПРИКАЗНАЯ ПАЛАТА", XVII В., ВХОДЯЩИХ В СОСТАВ ОБЪЕКТА КУЛЬТУРНОГО НАСЛЕДИЯ ФЕДЕРАЛЬНОГО ЗНАЧЕНИЯ "АНСАМБЛЬ КРЕМЛЯ", XII - XIX ВВ. (ПСКОВСКАЯ ОБЛАСТЬ), ОТНЕСЕННЫХ К ОСОБО ЦЕННЫМ ОБЪЕКТАМ КУЛЬТУРНОГО НАСЛЕДИЯ НАРОДОВ РОССИЙСКОЙ ФЕДЕРАЦИИ, ОСОБЫХ РЕЖИМОВ ИСПОЛЬЗОВАНИЯ ЗЕМЕЛЬ И ТРЕБОВАНИЙ К ГРАДОСТРОИТЕЛЬНЫМ РЕГЛАМЕНТАМ В ГРАНИЦАХ ТЕРРИТОРИИ ДАННОЙ ЗОНЫ"
(Зарегистрировано в Минюсте РФ 25.11.2024 N 80310)
Показывать страниц:
Для качественной печати: PDF-файл документа (19 Мб)
Страница 32 из 53