Министерство Юстиции Российской Федерации версия для слабовидящих
ПРИКАЗ МВД РФ от 17.10.2024 N 613
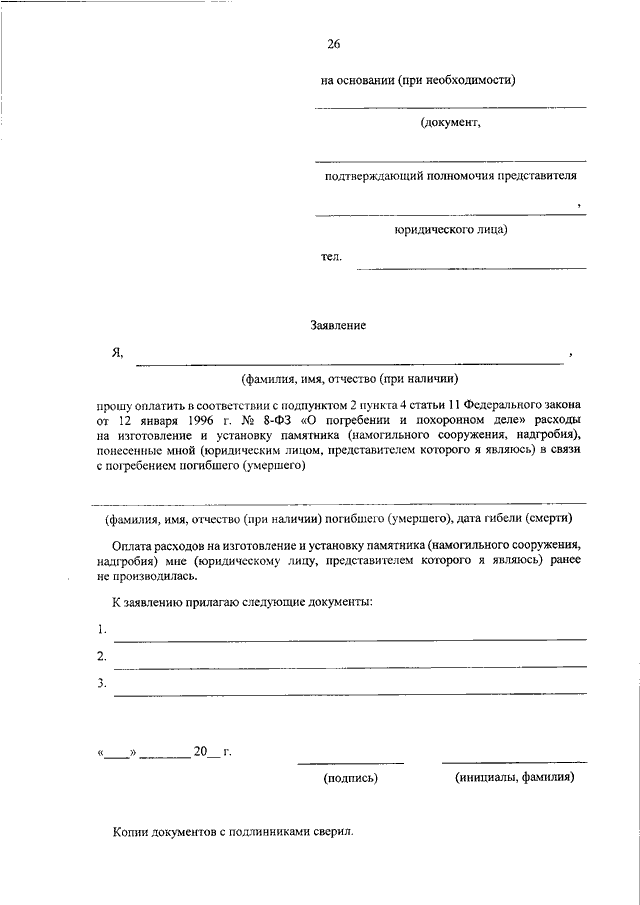
"ОБ УТВЕРЖДЕНИИ ПОРЯДКА ПОГРЕБЕНИЯ ПОГИБШИХ (УМЕРШИХ) СОТРУДНИКОВ ОРГАНОВ ВНУТРЕННИХ ДЕЛ РОССИЙСКОЙ ФЕДЕРАЦИИ, ГРАЖДАН РОССИЙСКОЙ ФЕДЕРАЦИИ, УВОЛЕННЫХ СО СЛУЖБЫ В ОРГАНАХ ВНУТРЕННИХ ДЕЛ, ОРГАНАХ ПО КОНТРОЛЮ ЗА ОБОРОТОМ НАРКОТИЧЕСКИХ СРЕДСТВ И ПСИХОТРОПНЫХ ВЕЩЕСТВ И ОРГАНАХ НАЛОГОВОЙ ПОЛИЦИИ, С ВОЕННОЙ СЛУЖБЫ ИЗ ВНУТРЕННИХ ВОЙСК, ИНВАЛИДОВ ВЕЛИКОЙ ОТЕЧЕСТВЕННОЙ ВОЙНЫ И ИНВАЛИДОВ БОЕВЫХ ДЕЙСТВИЙ, УЧАСТНИКОВ ВЕЛИКОЙ ОТЕЧЕСТВЕННОЙ ВОЙНЫ, ВЕТЕРАНОВ БОЕВЫХ ДЕЙСТВИЙ, ВЕТЕРАНОВ ВОЕННОЙ СЛУЖБЫ, ОПЛАТЫ УСЛУГ ПО ПОГРЕБЕНИЮ, А ТАКЖЕ ПО ИЗГОТОВЛЕНИЮ И УСТАНОВКЕ ИМ ПАМЯТНИКОВ (НАМОГИЛЬНЫХ СООРУЖЕНИЙ, НАДГРОБИЙ) И ПОРЯДКА ОТДАНИЯ ПОЧЕСТЕЙ ПРИ ПОГРЕБЕНИИ ПОГИБШИХ (УМЕРШИХ) СОТРУДНИКОВ ОРГАНОВ ВНУТРЕННИХ ДЕЛ РОССИЙСКОЙ ФЕДЕРАЦИИ И ГРАЖДАН РОССИЙСКОЙ ФЕДЕРАЦИИ, УВОЛЕННЫХ СО СЛУЖБЫ В ОРГАНАХ ВНУТРЕННИХ ДЕЛ"
(Зарегистрировано в Минюсте РФ 19.11.2024 N 80228)
Показывать страниц:
Для качественной печати: PDF-файл документа (2 Мб)
Страница 26 из 33