Министерство Юстиции Российской Федерации
версия для слабовидящих
×
Закрыть
Информация об официальном опубликовании
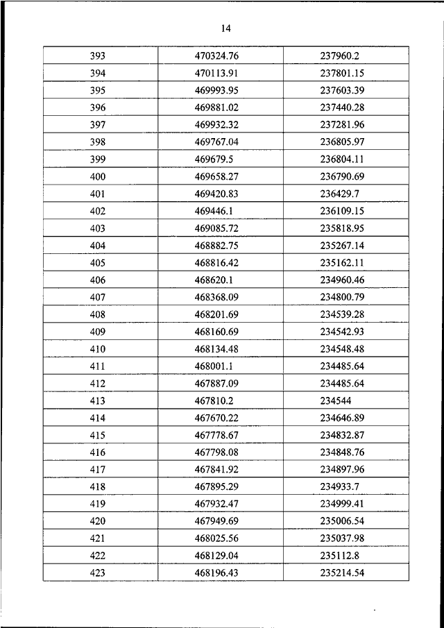
ПРИКАЗ Минприроды РФ от 15.10.2024 N 615
"ОБ УТВЕРЖДЕНИИ ПОЛОЖЕНИЯ О КАБАРДИНО - БАЛКАРСКОМ ВЫСОКОГОРНОМ ГОСУДАРСТВЕННОМ ПРИРОДНОМ ЗАПОВЕДНИКЕ"
(Зарегистрировано в Минюсте РФ 15.11.2024 N 80185)
Показывать страниц:
1
10
100
Для качественной печати:
PDF-файл документа (6 Мб)
<<
<
18
19
20
21
22
23
24
25
26
27
28
>
>>
Страница
23
из
103
<<
<
18
19
20
21
22
23
24
25
26
27
28
>
>>