Министерство Юстиции Российской Федерации
версия для слабовидящих
×
Закрыть
Информация об официальном опубликовании
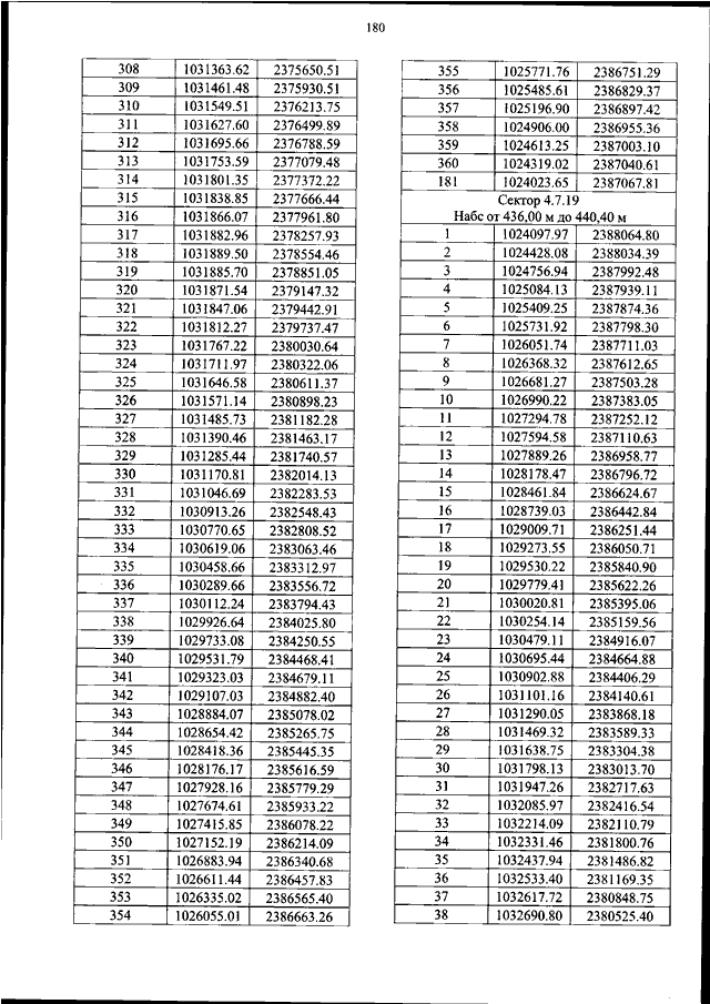
ПРИКАЗ Росавиации от 24.09.2024 N 864-П
"ОБ УСТАНОВЛЕНИИ ПРИАЭРОДРОМНОЙ ТЕРРИТОРИИ АЭРОДРОМА ГРАЖДАНСКОЙ АВИАЦИИ МИРНЫЙ"
(Зарегистрировано в Минюсте РФ 23.10.2024 N 79880)
Показывать страниц:
1
10
100
Для качественной печати:
PDF-файл документа (64 Мб)
<<
<
176
177
178
179
180
181
182
183
184
185
186
>
>>
Страница
181
из
274
<<
<
176
177
178
179
180
181
182
183
184
185
186
>
>>