Министерство Юстиции Российской Федерации
версия для слабовидящих
×
Закрыть
Информация об официальном опубликовании
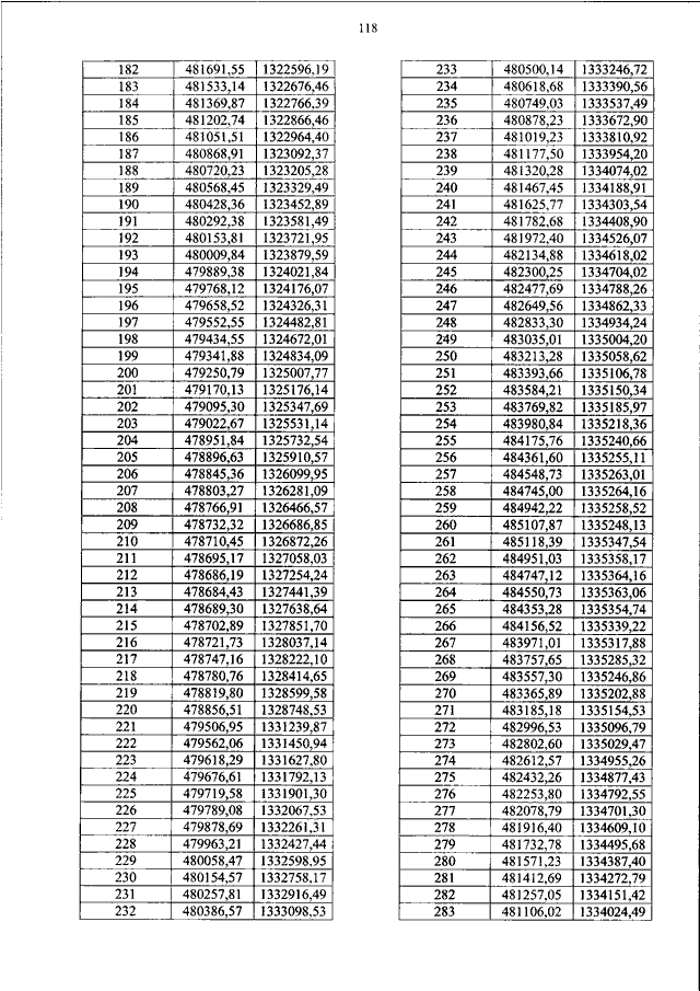
ПРИКАЗ Росавиации от 16.09.2024 N 835-П
"ОБ УСТАНОВЛЕНИИ ПРИАЭРОДРОМНОЙ ТЕРРИТОРИИ АЭРОДРОМА ГРАЖДАНСКОЙ АВИАЦИИ СТАВРОПОЛЬ (ШПАКОВСКОЕ)"
(Зарегистрировано в Минюсте РФ 11.10.2024 N 79775)
Показывать страниц:
1
10
100
Для качественной печати:
PDF-файл документа (75 Мб)
<<
<
114
115
116
117
118
119
120
121
122
123
124
>
>>
Страница
119
из
361
<<
<
114
115
116
117
118
119
120
121
122
123
124
>
>>