Министерство Юстиции Российской Федерации версия для слабовидящих
ПРИКАЗ Минкультуры РФ от 23.05.2024 N 962
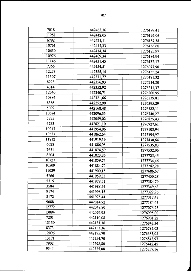
"ОБ УТВЕРЖДЕНИИ ГРАНИЦ ТЕРРИТОРИИ ОБЪЕКТА КУЛЬТУРНОГО НАСЛЕДИЯ (ПАМЯТНИКА ИСТОРИИ И КУЛЬТУРЫ) НАРОДОВ РОССИЙСКОЙ ФЕДЕРАЦИИ ФЕДЕРАЛЬНОГО ЗНАЧЕНИЯ - ДОСТОПРИМЕЧАТЕЛЬНОЕ МЕСТО "БОРОДИНСКОЕ ПОЛЕ И ПАМЯТНИКИ НА НЕМ", РАСПОЛОЖЕННОГО ПО АДРЕСУ: МОСКОВСКАЯ ОБЛАСТЬ, МОЖАЙСКИЙ ГОРОДСКОЙ ОКРУГ, А ТАКЖЕ ТРЕБОВАНИЙ К ОСУЩЕСТВЛЕНИЮ ДЕЯТЕЛЬНОСТИ И ГРАДОСТРОИТЕЛЬНОМУ РЕГЛАМЕНТУ В ГРАНИЦАХ ТЕРРИТОРИИ УКАЗАННОГО ОБЪЕКТА КУЛЬТУРНОГО НАСЛЕДИЯ (ПАМЯТНИКА ИСТОРИИ И КУЛЬТУРЫ) НАРОДОВ РОССИЙСКОЙ ФЕДЕРАЦИИ"
(Зарегистрировано в Минюсте РФ 12.09.2024 N 79447)
Показывать страниц:
Для качественной печати: PDF-файл документа (150 Мб)
Страница 707 из 712