Министерство Юстиции Российской Федерации
версия для слабовидящих
×
Закрыть
Информация об официальном опубликовании
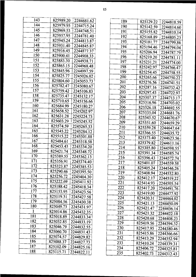
ПРИКАЗ Росавиации от 12.08.2024 N 735-П
"ОБ УСТАНОВЛЕНИИ ПРИАЭРОДРОМНОЙ ТЕРРИТОРИИ АЭРОДРОМА ГРАЖДАНСКОЙ АВИАЦИИ СТРЕЖЕВОЙ"
(Зарегистрировано в Минюсте РФ 12.09.2024 N 79445)
Показывать страниц:
1
10
100
Для качественной печати:
PDF-файл документа (66 Мб)
<<
<
81
82
83
84
85
86
87
88
89
90
91
>
>>
Страница
86
из
252
<<
<
81
82
83
84
85
86
87
88
89
90
91
>
>>