Министерство Юстиции Российской Федерации
версия для слабовидящих
×
Закрыть
Информация об официальном опубликовании
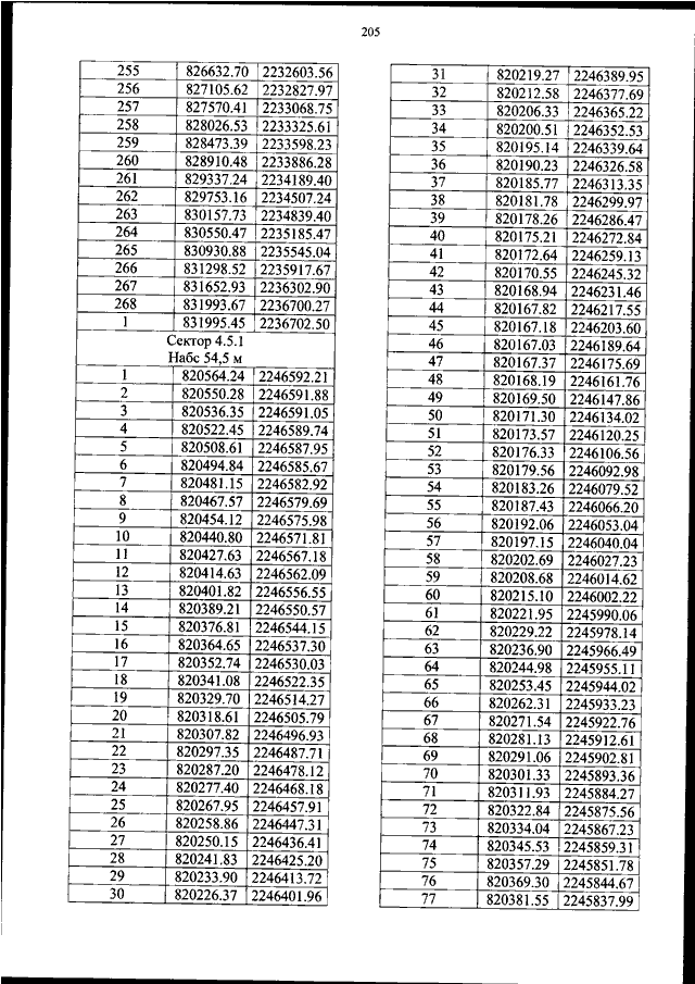
ПРИКАЗ Росавиации от 12.08.2024 N 735-П
"ОБ УСТАНОВЛЕНИИ ПРИАЭРОДРОМНОЙ ТЕРРИТОРИИ АЭРОДРОМА ГРАЖДАНСКОЙ АВИАЦИИ СТРЕЖЕВОЙ"
(Зарегистрировано в Минюсте РФ 12.09.2024 N 79445)
Показывать страниц:
1
10
100
Для качественной печати:
PDF-файл документа (66 Мб)
<<
<
201
202
203
204
205
206
207
208
209
210
211
>
>>
Страница
206
из
252
<<
<
201
202
203
204
205
206
207
208
209
210
211
>
>>