Министерство Юстиции Российской Федерации
версия для слабовидящих
×
Закрыть
Информация об официальном опубликовании
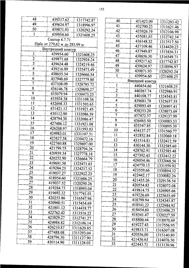
ПРИКАЗ Росавиации от 12.08.2024 N 737-П
"ОБ УСТАНОВЛЕНИИ ПРИАЭРОДРОМНОЙ ТЕРРИТОРИИ АЭРОДРОМА ГРАЖДАНСКОЙ АВИАЦИИ ЛИПЕЦК"
(Зарегистрировано в Минюсте РФ 12.09.2024 N 79443)
Показывать страниц:
1
10
100
Для качественной печати:
PDF-файл документа (48 Мб)
<<
<
149
150
151
152
153
154
155
156
157
158
159
>
>>
Страница
154
из
213
<<
<
149
150
151
152
153
154
155
156
157
158
159
>
>>