Министерство Юстиции Российской Федерации
версия для слабовидящих
×
Закрыть
Информация об официальном опубликовании
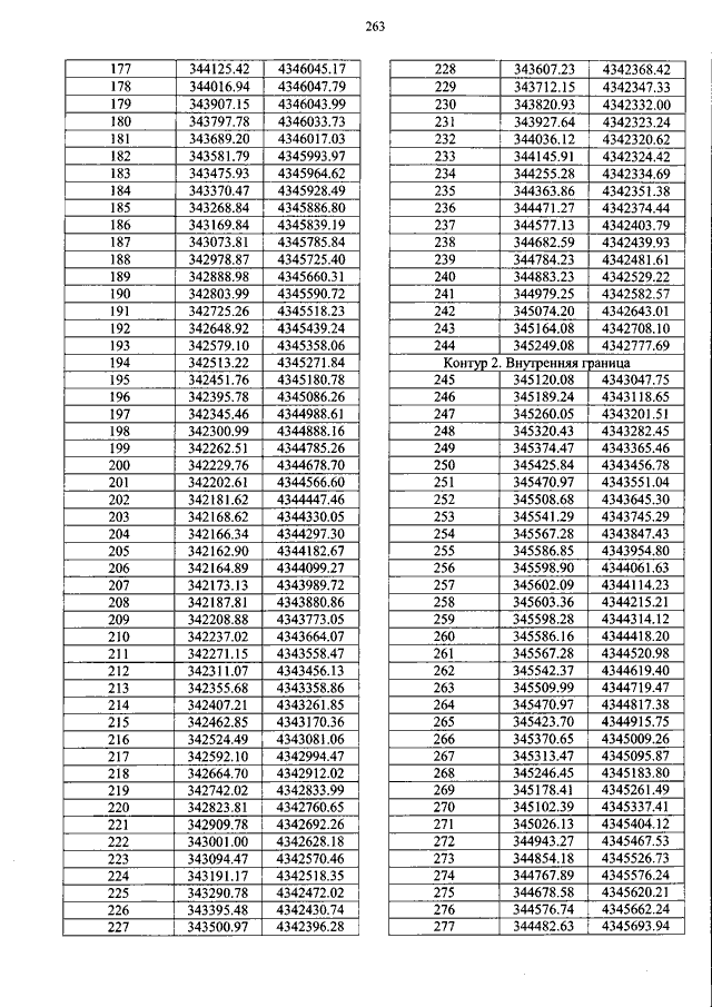
ПРИКАЗ Росавиации от 30.07.2024 N 691-П
"ОБ УСТАНОВЛЕНИИ ПРИАЭРОДРОМНОЙ ТЕРРИТОРИИ АЭРОДРОМА ГРАЖДАНСКОЙ АВИАЦИИ ТОМСК (БОГАШЕВО)"
(Зарегистрировано в Минюсте РФ 29.08.2024 N 79327)
Показывать страниц:
1
10
100
Для качественной печати:
PDF-файл документа (102 Мб)
<<
<
259
260
261
262
263
264
265
266
267
268
269
>
>>
Страница
264
из
472
<<
<
259
260
261
262
263
264
265
266
267
268
269
>
>>